Session: (1862–1894) Imaging of Rheumatic Diseases Poster II
1874: Cartilage Thickness Measures Are More Responsive Than Cartilage Area Loss Measures: A Comparison of Quantitative and Semi-quantitative Cartilage Assessments from the Osteoarthritis Initiative
Aaron Ray1, Alan Brett2, Bright Dube3, Michael Bowes4 and Philip Conaghan3, 1York and Scarborough Teaching Hospitals: NHS Foundation Trust, York, United Kingdom, 2Stryker, Austin, TX, 3University of Leeds, Leeds, United Kingdom, 4Imorphics Ltd, Manchester, United Kingdom
Background/Purpose: Cartilage loss in 1-2 year osteoarthritis clinical trials is often small, but a critical outcome measure. The aim of this study was to compare the cross-sectional relationship and longitudinal responsiveness of the semi-quantitative MRI Osteoarthritis Knee Score (MOAKS) with quantitative cartilage thickness measures.
Methods: Images and MOAKS scores from 297 participants with radiographic progression (groups 1 and 2) from the OAI FNIH sub-cohort were included. To facilitate direct comparison with MOAKS, novel quantitative measures of cartilage loss were matched to MOAKS regions (Q-MOAKS).Mean normative cartilage thickness was computed for each subregion (Figure 1) using FNIH controls (group 4). Q-MOAKS thickness loss score (tQCM) was based on the proportion of cartilage thickness over a subregion that was < 95% normative thickness and denudation score (dQCM) was based on < 5% normative thickness. Q-MOAKS area proportions (tQCMr) were compared for responsiveness. These were categorised into scores as for MOAKS for cross-sectional analysis. Quantitative cartilage thickness (ThCtAB) was also measured in the MOAKS subregions. We compared MOAKS against Q-MOAKS and ThCtAB. Cross-sectional relationships between measures were assessed using Spearman's rank correlation. Responsiveness was assessed at 1 and 2 years using standardised response means (SRM).
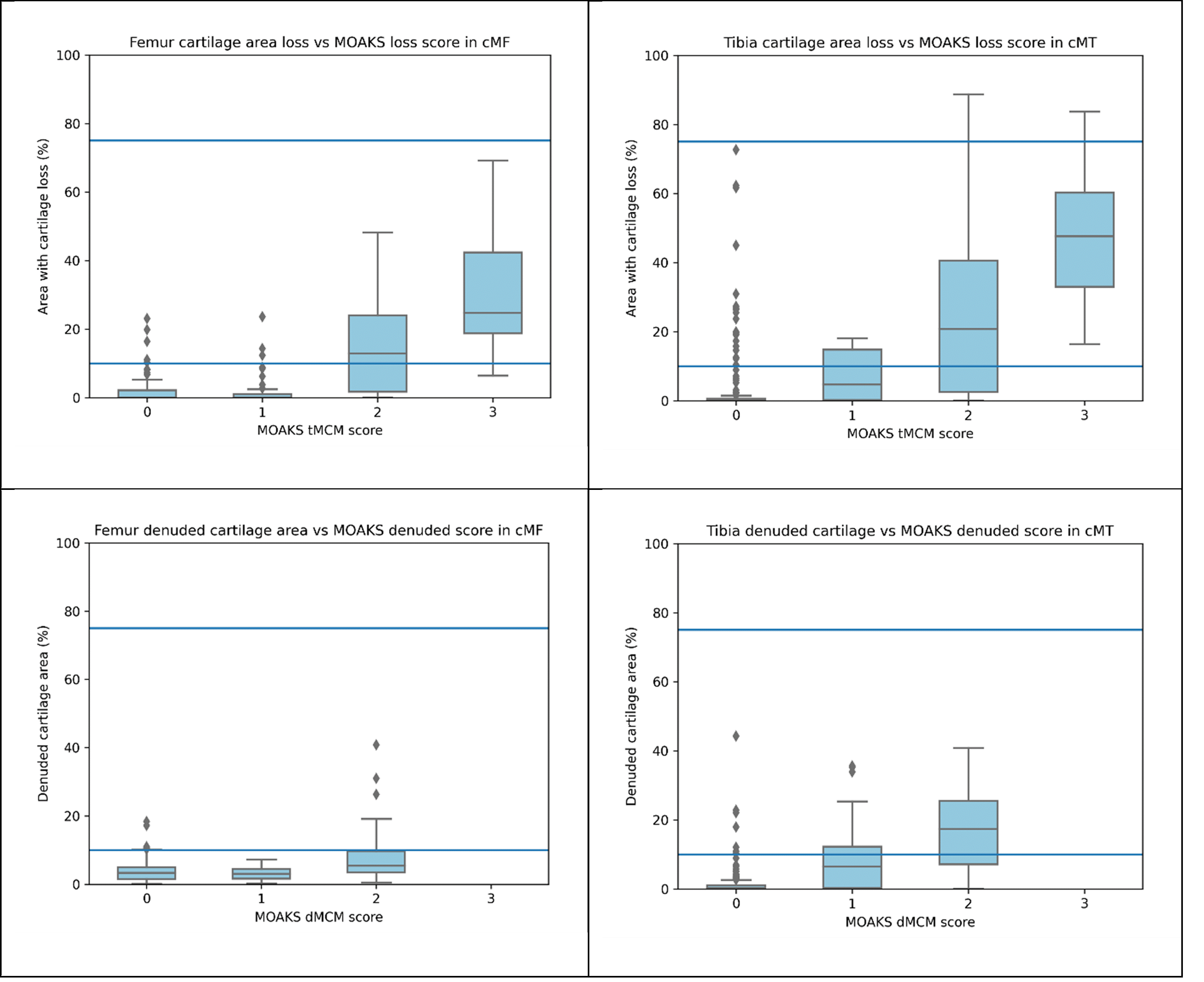
Results: Cross-sectionally, there was moderate correlation between MOAKS and Q-MOAKS denudation in the central medial femur (cMF r=0.42, (95%CI:0.32, 0.51)) and tibia (cMT r=0.51, (0.42, 0.59)). There was a poor correlation between MOAKS and Q-MOAKS thickness loss and denudation scores in all other regions. In the cMT region, 61% (96/159) of knees with MOAKS thickness loss tMCM = 2 (the 10-75% score) were also tQMC = 2 and 66% of MOAKS denudation dMCM = 2 were also dQCM = 2 (Figure 2). In the cMF region, the figures were 56% and 23%.MOAKS tMCM and dMCM were less responsive than Q-MOAKS tQCM and dQCM in most subregions (Table 1). MOAKS tMCM in cMT demonstrated the most responsiveness for all the thickness loss scores (SRM=0.47, (95%CI:0.41, 0.54)). Quantitative cartilage thickness (ThCtAB) measures were most responsive.
Conclusion: In the cross-sectional analysis, the concordance between MOAKS scores and the actual ratio of cartilage loss to subregion area was poor. MOAKS appeared to overestimate grades 2 and 3. Quantitative measures of thickness loss were almost twice as responsive as MOAKS, likely because thickness loss is a more responsive construct than area loss for cartilage assessment.
Figure 1: Cartilage regions defined for Q-MOAKS and ThCtAB. Cartilage regions definitions consisting of the medial and lateral central and posterior femur (cMF, cLF, pMF, pLF) subregions and the medial and lateral tibial anterior, central, posterior (aMT, cMT, pMT, aLT, cLT, pLT) subregions.
Figure 2: The association between 3D quantitative cartilage area percentage measures and MOAKS scores in the central medial femur and tibia. Top: comparison of cartilage thickness loss. Bottom: comparison of cartilage denudation. There were no MOAKS dMCM = 3 scores in this cohort. Horizontal blue lines indicate the MOAKS score definition thresholds (0: 0%, 1: 0-10%, 2: 10-75%, 3: >75%).
Table 1: Responsiveness (SRM) of standard cartilage MOAKS scores, Q-MOAKS ratios and quantitative cartilage thickness at one-year and two-year follow-up.
A. Ray: None; A. Brett: Stryker, 3, 8; B. Dube: None; M. Bowes: Stryker, 3, 8; P. Conaghan: AbbVie/Abbott, 2, 6, Eli Lilly, 2, 6, Galapagos, 2, Genascense, 2, GlaxoSmithKlein(GSK), 2, Grunenthal, 2, Janssen, 2, Levicept, 2, Merck/MSD, 2, Moebius Medical, 2, Novartis, 2, 6, Stryker, 2, Takeda, 2, TrialSpark, 2.