Session: (2257–2325) SLE – Diagnosis, Manifestations, & Outcomes Poster III
2277: Patients with Systemic Lupus Erythematosus: A Comparative Study Between Two Large, Multi-centric, Spanish and Argentinian Registers, Focused on Outcomes Differences
Hospital de Gran Canaria Doctor Negrin Las Palmas GC, Spain
Disclosure information not submitted.
Iñigo Rúa-Figueroa1, Rosana M Quintana2, JULIA MARTINEZ BARRIO3, Mercedes García4, Maria Galindo-Izquierdo5, Lucila Garcia6, Jaime Calvo- Alén7, Carla Gobbi8, Esther Uriarte Isacelaya9, Paula Alba8, Eva Tomero Muriel10, Verónica Bellomio11, Mercedes Freire González12, Susana Roverano6, Victor Martinez-Taboada13, Analia Patricia Alvarez14, Eva Salgado-Pérez15, Cesar Enrique Graf16, Paloma Vela17, Cecilia Pisoni14, Antonio Fernandez-Nebro18, Valeria Arturi19, Clara Sanguesa Gomez20, Catalina Gomez14, Javier Narvaez21, Zulema Plaza22, Gregorio Santos Soler23, Silvia Papasidero24, José Ángel Hernández Beriain25, Raul Paniego6, Angela Pecondón26, Maria Celina De La Vega6, Oihane Ibarguengoitia-Barrena27, Emma Civit8, Gema Bonilla28, Luciana Gonzalez Lucero14, Vicente Torrente-Segarra29, Maria Victoria Martire6, Ana Paula Cacheda30, Rodrigo Aguila Maldonado14, Maria J. García-Villanueva31, Sergio Gordon14, Clara Moriano Morales32, Marina Micelli6, Loreto Horcada33, Romina Nieto34, Nuria Lozano Rivas35, Gretel Rausch14, Guillermo Pons-Estel34 and Jose-Maria Pego-Reigosa36, 1Rheumatology, Hospital de Gran Canaria Doctor Negrin, Las Palmas de Gran Canaria, Spain, 2Centro Regional de Enfermedades Autoinmunes y Reumticas (CREAR), Grupo Oroño, Rosario, Argentina, 3Rheumatology, Gregorio Marañon University Hospital, Madrid, Spain, 4Hospital Interzonal General de Agudos José de San Martín, La Plata, Argentina, 5Rheumatology, University Hospital of 12 de Octubre, Madrid, Spain, 6RELESSAR, CABA, Argentina, 7Rheumatology, Bioaraba Research Unit, Hospital Universitario Araba, Vitoria, Spain, 8RELESSAR, Cordoba, Argentina, 9Rheumatology, University Hospital of Donosti, San Sebastián, Spain, 10Rheumatology, Hospital La Princesa, Madrid, Spain, 11RELESSAR, Tucuman, Argentina, 12Rheumatology department, Complexo Hospitalario Universitario A Coruña (CHUAC). Instituto de Investigación Biomédica A Coruña (INIBIC), A Coruña, Spain, 13Rheumatology, Hospital Marqués de Valdecilla, Santander, Spain, 14Study Group of the Argentine Society of Rheumatology for Systemic Lupus Erythematosus, Buenos Aires, Argentina, 15Department of Rheumatology, University Hospital of Ourense, Ourense, Spain, 16RELESSAR, ENTRE RIOS, Argentina, 17Department of Rheumatology, University Hospital of Alicante, Alicante, Spain, 18Hospital Regional Universitario de Málaga, Malaga, Spain, 19RELESSAR, La Plata, Argentina, 20Severo Ochoa Hospital, Madrid, Spain, 21Hospital Universitario de Bellvitge, Barcelona, Spain, 22Universidad Autónoma de Madrid, Madrid, Spain, 23Rheumatology, Hospital Marina Baixa Villajoyosa, Alicante, Spain, 24Hospital General de Agudos Dr. Enrique Tornú, Buenos Aires, Argentina, 25Rheumatology, Hospital Insular de Gran Canaria, Las Palmas de Gran Canaria, Spain, 26Hospital Universitario Miguel Servet, Zaragoza, Madrid, Spain, 27Galdakao-Usansolo University Hospital, Bilbao, Spain, 28Department of Rheumatology, Hospital Clínico Universitario La Paz, Madrid, Spain, 29Department of Rheumatology, Hospital de Sant Joan Despí Moises Broggi,, Sant Joan Despí, Spain, 30Department of Rheumatology, Hospital Son Llatzer, Palma de Mallorca, Spain, 31Hospital Ramón y Cajal, Madrid, Spain, 32Rheumatology, Hospital Universitario de León, León, Spain, 33Hospital de Navarra, Pamplona, Spain, 34RELESSAR, Rosario, Argentina, 35Department of Rheumatology, Hospital Clínico Universitario Virgen de la Arrixaca, Murcia, Spain, 36Rheumatology, Hospital do Meixoeiro, Vigo, Spain
Background/Purpose: Systemic lupus erythematosus (SLE) is an autoimmune disease characterized by multi-organ involvement, associated with substantial morbidity and mortality. A characteristic that distinguishes lupus patients is the aggressiveness of the disease, associated with worse outcomes, especially in certain ethnic groups. Patients of Afro-American ethnicity or Hispanics present more frequency of renal disease and higher damage accrual, as compared to Caucasians, and there is certain controversy regarding the factors that explain these differences and the relevance of the socioeconomic status on there. OBJETIVES: To compare the clinical and serological features, treatments, outcomes and comorbidities of SLE patients from the cross-sectional phase of the Spanish lupus registry (RELESSER), those Latin American patients residing in Spain, who belong to the RELESSER register and patients from the Argentinian register (RELESSAR).
Methods: RELESSER and RELESSAR are large multicenter registries and share the same database, with identical definitions of the variables. Likewise, both include patients who meet the ACR /1997 classification criteria. The variables collected were: demographics, clinical, serology, comorbidities and treatments; disease activity index (SELENA-SLEDAI), damage (SLICC/ACR Damage Index (SDI). The Charlson Comorbidity Index was performed as well as Katz score. In RELESSER, Latin American patients were defined as those born in Latin American countries, whose Latin American parents have emigrated to Spain. Other ethnic groups of RELESSER were excluded from this analysis. The categorical variables were compared using Chi-square test or Fisher's test, and for the continuous variables, ANOVA or the Kruskal Wallis test were carried out. In cases where significant differences were found between the groups, and multiple comparisons were performed. The significance level < 0.05 was considered. R software was used for data analysis.
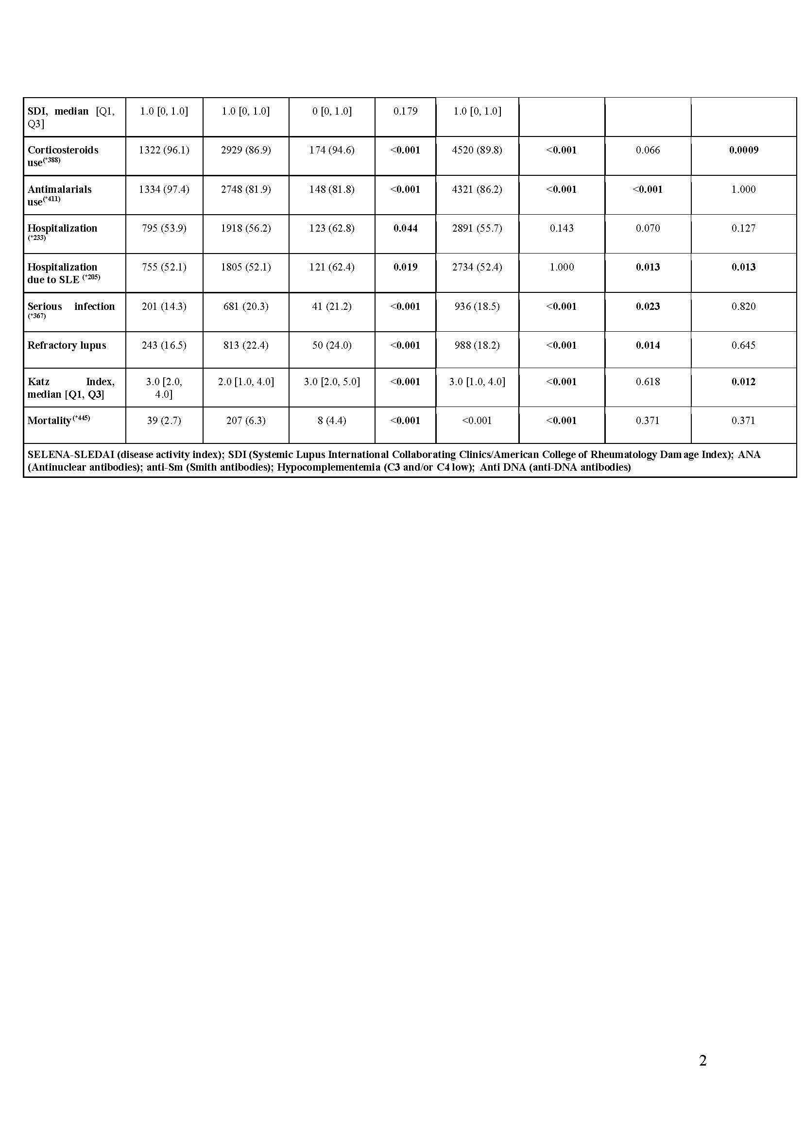
Results: A total of 5423 patients were included: 1475 in the RELESSAR group, 3627 in the Caucasian RELESSER, and 208 Latin-American from RELESSER. Table 1 shows the multiple comparisons between the groups. Latin-American patients irrespective of the country in which they live have a younger age, shorter duration of the disease with a shorter time to diagnosis, higher severity as measured by Katz Index, more frequency of nephritis, higher SLEDAI and higher use of corticosteroids treatment. However, RELESSER patients had showed higher frequency of comorbidities and hospitalizations.
Conclusion: Latin-American patients had severe disease, with higher frequency of renal involvement and use of corticosteroids, no matter the countryof residence suggesting that health resources would not be a good explanation for these differences. However, Spanish Caucasian patients have more mortality and infection, probably linked to lesser use of antimalarials and high degree of comorbidity.
Table 1. Comparison between RELESSAR patients, Latin-American RELESSER and Caucasian RELESSER.
Continuation Table 1. Comparison between RELESSAR patients, Latin-American RELESSER and Caucasian RELESSER.
I. Rúa-Figueroa: AstraZeneca, 5, GSK, 1, 6; R. Quintana: None; J. MARTINEZ BARRIO: None; M. García: GSK, 6, Janssen, 6, Pfizer, 6; M. Galindo-Izquierdo: None; L. Garcia: None; J. Calvo- Alén: AbbVie, 2, AstraZeneca, 2, Biogen, 6, BMS, 5, Galapagos, 6, GSK, 2, 6, Lilly, 2, 6, Novartis, 2, 6, Roche, 5, Sanofi, 2; C. Gobbi: None; E. Uriarte Isacelaya: None; P. Alba: None; E. Tomero Muriel: None; V. Bellomio: None; M. Freire González: None; S. Roverano: None; V. Martinez-Taboada: None; A. Alvarez: None; E. Salgado-Pérez: None; C. Graf: None; P. Vela: None; C. Pisoni: None; A. Fernandez-Nebro: None; V. Arturi: None; C. Sanguesa Gomez: None; C. Gomez: None; J. Narvaez: None; Z. Plaza: None; G. Santos Soler: None; S. Papasidero: None; J. Hernández Beriain: None; R. Paniego: None; A. Pecondón: None; M. De La Vega: None; O. Ibarguengoitia-Barrena: None; E. Civit: None; G. Bonilla: None; L. Gonzalez Lucero: None; V. Torrente-Segarra: None; M. Martire: None; A. Cacheda: None; R. Aguila Maldonado: None; M. García-Villanueva: AstraZeneca, 6, GSK, 6, Otsuka, 1; S. Gordon: None; C. Moriano Morales: None; M. Micelli: None; L. Horcada: None; R. Nieto: None; N. Lozano Rivas: None; G. Rausch: None; G. Pons-Estel: None; J. Pego-Reigosa: None.