María laiño1, Monica Enguita2, Javier Loricera3, Clara Moriano Morales4, Carmen Lasa5, Vanesa Calvo Río6, Javier Narvaez7, Pablo Ignacio Navarro Guerra8, Ivette Casafont-Sole9, Judit Font Urgelles10, Adela Gallego11, Irene Carrión-Barberà12, Patricia Quiroga13, Santos Castañeda13, Angel Garcia-Aparicio14, Joaquin Maria Belzunegui Otano15, Juan Ramon De Dios16, Marta López17, Samuel Hernandez18, Sergi Heredia Martin19, Aaron Fariñas20, Francisco Navarro21, Jorge Juan Fragio22, Carmen Escudero23, Rafaela Ortega Castro24, Leticia del Olmo Perez25, Valvanera Pinillos26, Eztizen Labrador26, Mamen Ortega27, Patricia Castro Pérez27, Juan Maria Blanco-Madrigal28, Marcos Paulino29, María Ángeles Matías30, Enrique Calvo-Aranda31, Cilia Peralta32, Silvia García33, Jordi Camins-Fàbregas34, Marta Garijo Bufort35, Dolores Fabregas36, Ana Urruticoechea37, Miguel Medina Malone38, Piter Jose Cossio Jimenez39, Eva Perez-Pampin40, Blanca Varas de Dios41, Carlos Vazquez Galeano42, Nuria Vegas Revenga43, Olga Rusinovich44, Emilio Giner-Serret45, Jose Ramón lamúa46 and Vicente Aldasoro1, 1Hospital Universitario de Navarra, Pamplona, Spain, 2Navarrabiomed-Unidad de Metodología, Pamplona, Spain, 3Hospital Universitario Marqués de Valdecilla, Santander, Spain, 4Rheumatology, Hospital Universitario de León, León, Spain, 5Hospital Universitario Marqués de Valdecilla, IDIVAL., La Cavada, Spain, 6Valdecilla Hospital, Santander, Spain, 7Hospital Universitario de Bellvitge, Barcelona, Spain, 8Hospital Universitario Puerta de Hierro de Majadahonda, Madrid, Spain, 9Hospital Universitari Germans Trias i Pujol, Badalona, Spain, 10Hospital Universitario German Trias i Pujol,, Badalona, Spain, 11Complejo Hospitalario Universitario de Badajoz, Badajoz, Spain, 12Hospital del Mar, Barcelona, Spain, 13Hospital Universitario de la Princesa, Madrid, Spain, 14Hospital Universitario de Toledo, Toledo, Spain, 15University Hospital Donostia, Donostia-San Sebasti, Spain, 16Hospital Universitario Araba, Vitoria, Spain, 17Hospital Universitario Arava, Pamplona, Spain, 18Hospital Universitario Son Llatzer, Palma de Mallorca, Spain, 19Complex Hospitalari Moisès Broggi, Barcelona, Spain, 20Complejo Asistencial Universitario de Palencia, Palencia, Spain, 21Doctor. Rheumatology, Alicante, Spain, 22Hospital General Universitario Valencia, Valencia, Spain, 23Hospital Universitario de Valme, Sevilla, Spain, 24Hospital Reina Sofía, Cordoba, Spain, 25Hospital Nuestra Señora del Prado, Talavera de la Reina, Spain, 26Hospital Universitario San Pedro, Logroño, Spain, 27Hospital Universitario de Getafe, Getafe, Spain, 28Division of Rheumatology, H. Universitario de Basurto, Bilbao, Spain, 29Hospital General Universitario de Ciudad Real, Ciudad Real, Spain, 30Hospital Universitario Infanta Leonor/Rheumatology Department, Madrid, Spain, 31Hospital Universitario Infanta Leonor, Madrid, Spain, 32Hospital Clínico Lozano Blesa, Zaragoza, Spain, 33Hospital Parc Taulí, Sabadell, Spain, 34Hospital General de Granollers, Granollers, Spain, 35Hospital de Sagunto, Valencia, Spain, 36Hospital de Barbastro, Barbastro, Spain, 37Hospital Can Misses, Ibiza, Spain, 38Hospital Calahorra, Calahorra, Spain, 39HOSPITAL REINA SOFIA, Tudela, Spain, 40Rheumatology Department Complejo Hospitalario Universitario Santiago, Santiago de compostela, Spain, 41Santa Cristina Universitary Hospital, Madrid, Spain, 42ZARAGOZA, Madrid, Spain, 43Hospital Galdakao- Usansolo, Galdakao, Spain, 44Puerta de Hierro University Hospital, Boadilla del Monte, Spain, 45Hospital Royo Villanova, Teruel, Spain, 46Hospital Universitario del Henares, Alcalá de Henares, Spain
Background/Purpose: Belimumab (BLM) is a monoclonal antibody that inhibits B-lymphocyte stimulating factor (BlyS), approved in 2011 as a treatment for systemic lupus erythematosus (SLE). We present the experience with BLM in this spanish cohort.
Methods: Descriptive, retrospective, multicenter study in patients diagnosed with SLE according to EULAR/ACR 2019, SLICC and/or ACR 1997 diagnostic criteria. Data regarding SLE patients treated with BLM were collected from medical records (2011-2023). Demographic features, analytical variables, SLEDAI, renal involvement, steroid dose, administration routes, efficacy, remission and safety were assessed.
Results: Five hundred and twenty one patients were included with a mean age at diagnosis of 35.1 (13.9) years. 85.8% were women. The mean age at BLM begins was 44.5 (13.3) years and the median time from SLE diagnosis to BLM begin was 6.5 (2.4-14.3) years. Regarding administration route 50.2% were on intravenous (IV), 34.6 % on subcutaneous (SC) and 15.2% change from IV to SC route. The mean time of follow-up was 24.0 (21.4) months.
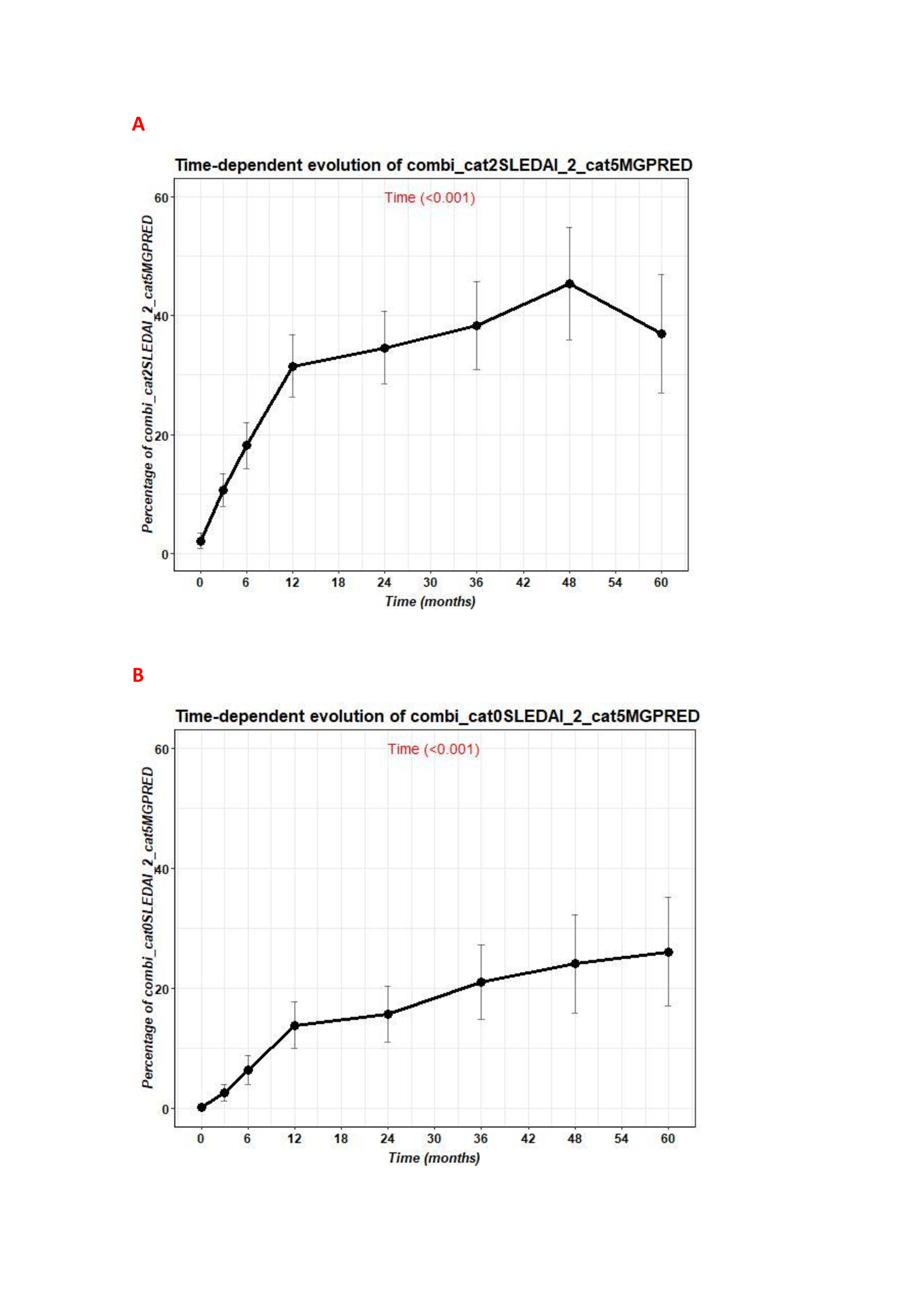
Baseline characteristics are summarized in Table 1 and patients in remission are shown in figure 1.
The median number of pre-BLM cDMARD use was 2.0 (2.0-3.0), being hydroxychloroquine (HCQ) the most used (94.2%). 93 patients received bDMARD before BLM begins, being Rituximab (RTX) the most used (79.6%), and 59 patients were treated with IV cyclophosphamide (CFM) with a median of 6 (4.5-8) IV bolus received. 75.6% and 21.5% of patients were on treatment with HCQ and methotrexate when BLM was started respectively.
The main reasons of starting BLM were musculoskeletal and mucocutaneous disorders (table1).
503 patients were on prednisone at the time of BLM begin with a median dose of 7.5 (5-10) mg. A statistically significant decrease in prednisone dose, SLEDAI and DNA was observed from baseline until the last follow up. In the other hand complement C3 and C4 raised (figure2).
One hundred and thirty seven patients (28.2%) had renal involvement. The median 24 hours proteinuria was 1.0 (0.5-2.4) grams and renal biopsy was done in 114 out of 137 patients, being class IV (42%), III (18.8%), II (12.5%) and V (10.7%) the most reported. 72.2% improve after BLM begins with last 24 hour proteinuria median of 0.2 (0.1-0.8) grams. Prior to BLM, most of them had been treated with MMF, RTX or CFM.
One hundred and and fitty one patients (29%) discontinued treatment mostly due to inefficacy (57.1%) and infections (12.2%). 133 patients developed infections, most of them mild, being urinary infection the most reported. 3 patients died, 8 had COVID and 3 presented neoplasms requiring discontinuation of the drug. The median time on treatment of patients that had to stop BLM was 12.0 (6-24) months.
Conclusion: Almost half of patients achieved remission after 4 years of BLM and a statistically significant improvement in prednisone dose reduction, SLEDAI, complement and antiDNA was demonstrated. Corticosteroids sparing effect with BLM was also observed.
BLM seems to be a good choice for patients with lupus nephritis since nearly three quarters of them normalized proteinuria values. No new safety alarms were reported.
This is the largest cohort of SLE patients treated with BLM reported in one country.
Table 1: Baseline characteristics of patients included in Belimumab Spanish registry.
Figure 1: Remission define as SLEDAI ≤ 2 and ≤ 5 mg of prednisone (A) or SLEDAI ≤ 0 and ≤ 5 mg of prednisone (B).
Figure 2: Time dependant evolution of SLEDAI, prednisone, antiDNA and complement C3 and C4.
M. laiño: None; M. Enguita: None; J. Loricera: None; C. Moriano Morales: None; C. Lasa: None; V. Calvo Río: None; J. Narvaez: None; P. Navarro Guerra: None; I. Casafont-Sole: None; J. Font Urgelles: None; A. Gallego: None; I. Carrión-Barberà: None; P. Quiroga: None; S. Castañeda: None; A. Garcia-Aparicio: None; J. Belzunegui Otano: None; J. De Dios: None; M. López: None; S. Hernandez: None; S. Heredia Martin: None; A. Fariñas: None; F. Navarro: None; J. Fragio: None; C. Escudero: None; R. Ortega Castro: None; L. del Olmo Perez: None; V. Pinillos: None; E. Labrador: None; M. Ortega: None; P. Castro Pérez: None; J. Blanco-Madrigal: None; M. Paulino: None; M. Matías: None; E. Calvo-Aranda: None; C. Peralta: None; S. García: None; J. Camins-Fàbregas: None; M. Garijo Bufort: None; D. Fabregas: None; A. Urruticoechea: None; M. Medina Malone: None; P. Cossio Jimenez: None; E. Perez-Pampin: None; B. Varas de Dios: None; C. Vazquez Galeano: None; N. Vegas Revenga: None; O. Rusinovich: None; E. Giner-Serret: None; J. lamúa: None; V. Aldasoro: None.