Baptist medical center Ponte Vedra Beach, FL, United States
Disclosure information not submitted.
Lilian Otalora Rojas1, Karishma Ramsubeik2, Luis Sanchez-Ramos2, Shastri Motilal3, Jasvinder Singh4 and Gurjit S Kaeley5, 1University of Florida, Ponte Vedra Beach, FL, 2University of Florida, Jacksonville, FL, 3The University of the West Indies, St. Augustine, Trinidad and Tobago, 4University of Alabama at Birmingham, Birmingham, AL, 5University of Florida College of Medicine – Jacksonville, Ponte Vedra Beach, FL
Background/Purpose: Autoimmune myositis involves a spectrum of rare autoimmune disorders characterized by inflammation and damage to skeletal muscles. The management of these challenging conditions often requires immunosuppressive therapies. Rituximab (RTX), a monoclonal antibody targeting CD20-positive B cells, has emerged as a promising therapeutic option for patients with autoimmune myositis who are refractory to or intolerant of conventional treatments.This meta-analysis aims to evaluate the efficacy and safety of RTX treatment in patients with autoimmune myositis, encompassing polymyositis (PM), dermatomyositis (DM), juvenile dermatomyositis (JDM), antisynthetase syndrome (ASS), and immune-mediated necrotizing myositis (IMNM).
Methods: A comprehensive literature search was conducted using electronic databases:PubMed and Embaseto identify relevant studies published up to September 2022. Studies reporting on the efficacy and safety outcomes of RTX treatment in patients with autoimmune myositis were included, case reports or series with less than 3 subjects were excluded. Data were extracted, and a random-effects model was used to calculate pooled estimates for clinical response rates, subgroup analysis, and adverse events. This study was registered withPROSPERO 2022 CRD42022353740
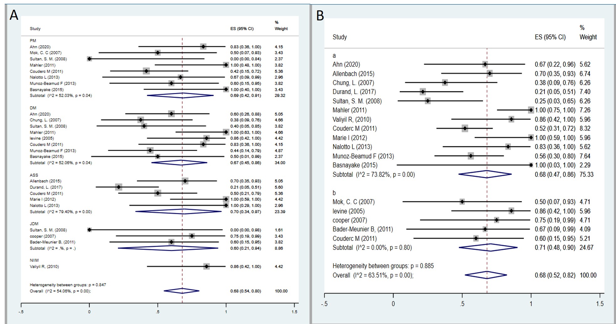
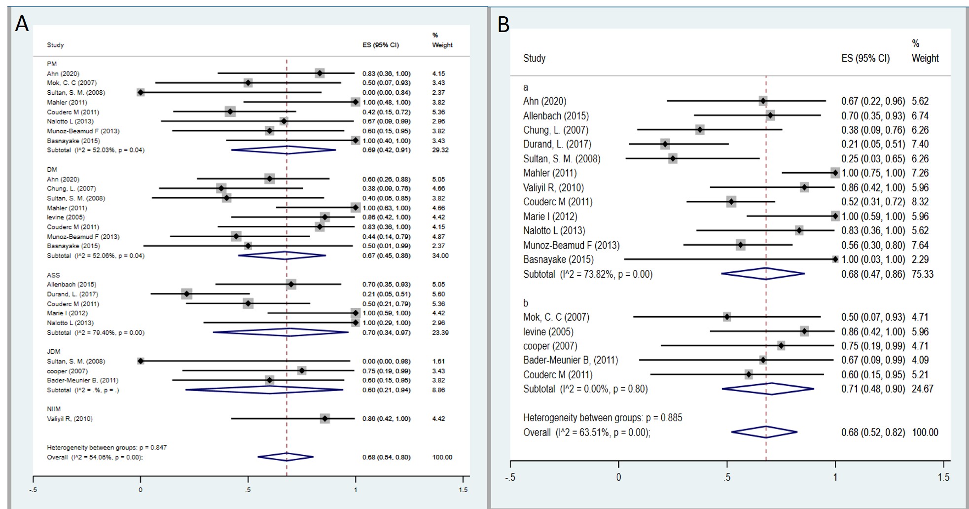
Results: A total of 17 studies, 1 RCT and 16 uncontrolled studies, involving 362 patients with autoimmune myositis were included in the meta-analysis. The pooled analysis demonstrated a notable overall clinical response rate of 70% (95% confidence interval [CI]: 57-82% I2=71.8%, p= < 0.001), Pooled complete remission rate after treatment with RTX was 13% (95% CI:3-25%, I2=79.5%, p=< 0.001), and partial remission rate was 48% (95% CI: 30–66%, I2=86.0%, p=< 0.001). Subgroup analyses showed high response rates in all typed of myositis PM 69% (95% CI: 42-91% I2=52.0%, p=0.04) DM 67% (95% CI: 45-86% I2=52.0%, p=0.04), ASS 70% (95% CI: 34-97% I2=79.4%, p=< 0.001), JDM 60% ( 95% CI: 21-94%) and NIIM (just one study) 86% ( 95% CI: 42-100%). Regarding RTX induction dose, subgroup analysis showed similar overall response with 1 g IV at days 0 and 14 days 68% (95% CI:47-86, I2=75.3% P=< 0.001) and 375 mg/m2 weekly for 4 weeks was 71% (95% CI:48–90, I2=24.6% P=0.80). Regarding safety, 120 adverse events were reported. The most reported adverse events from the 362 patients were infusion reactions in 67 (18.5%) and infections in 45 patients (12.4%).
Conclusion: The highly variable response and remission rates seen in this review warrant further controlled trials on RTX for autoimmune myositis. RTX demonstrates a favorable clinical response rate and muscle strength improvement. Potential adverse events, particularly infusion reactions and infections, should be considered. Further research is needed to optimize treatment protocols and assess long-term outcomes.
Figure 1 Meta-Analysis results for Overall response for RTX treatment in patient with IIM showing effect size estimate.
Figure 2. Meta-Analysis results for complete response (A) and partial response (B) for RTX treatment in patient with IIM showing effect size estimates.
Figure 3 Forest plots of subgroup analysis results. RTX overall response in different IIM subtypes (A) and RTX overall response according to induction dose a=1gr Q 2weeks and b= 375 mg/m2 weekly for 4 weeks (B)
L. Otalora Rojas: None; K. Ramsubeik: None; L. Sanchez-Ramos: None; S. Motilal: None; J. Singh: Other, 2, 6, 11, 11, 12, Adaptimmune Therapeutics, GeoVax Labs, Pieris Pharmaceuticals, Enzolytics Inc., Seres Therapeutics, Tonix, Charlotte’s Web, 12, Atai life sciences, kintara therapeutics, Intelligent Biosolutions, Acumen pharmaceutical, TPT Global Tech, Vaxart pharmaceuticals, Atyu biopharma, 12, speaker’s bureau of Simply Speaking, other, 12, received institutional research support from Zimmer Biomet Holdings. JAS received food and beverage payments from Intuitive Surgical Inc./Philips Elec, Other, 12, Schipher, Crealta/Horizon, Medisys, Fidia, PK Med, Two labs Inc., Adept Field Solutions, Clinical Care options, Clearview healthcare partners, Putnam; G. S Kaeley: Abbvie, 5, Gilead, 5, Janssen, 5.