John Hunter Hospital Newcastle, New South Wales, Australia
Disclosure information not submitted.
Stephen Oakley1, Samantha Stott1, Kerri Gill1, Chan Virgil1, Lyanne Weston2 and Theo de Malmanche1, 1John Hunter Hospital, New Lambton, Australia, 2Australian Red Cross Blood Service, Alexandria, Australia
Background/Purpose: The risk of developing ACPA+RA, predictors of severity and causes of excess cardiovascular disease (CVD) are incompletely understood. We have observed that RA patients with concurrent benign joint hypermobility have less severe arthritis and lower arterial stiffness. We hypothesise that biomechanical characteristics are similar in different connective tissues within individuals and that Constitutional Stiffness (CS) is a common determinant of RA severity and risk of CVD.
The aimof this study was to evaluate the validity of biomechanical assessments of a single joint (right 5th metacarpophalageal joint R-MCPJ5) as a measure of total body articular stiffness and to compare these assessments with measurements of skin and arterial stiffness in RA and Control.
Methods: Fifty-eight ACPA+RA and 57 controls (47 Healthy Volunteers and 10 Benign Joint Hypermobility) were recruited. R-MCPJ5 stiffness was measured as angular displacement (AD) degrees passive extension in response to a range of torque moments. Stress-strain responses were evaluated. Responses to 0.33Nm torque (AD0.33) were examined in detail. Beighton Scores (BS) used clinically to assess hypermobility were categorised as Low (BS 0), moderate (BS 1-3) and High (BS >3). Skin Stretch (SKST) was measured as percentage increase in distance between 2 dots dorsal right hand upon manual traction (Vernier calipers 0.1 mm resolution). Scores were dichotomised as High Stiffness ≤ 9.7% or Low Stiffness > 9.7%. Arterial stiffness was measured as Carotid-Femoral Pulse Wave Velocity (PWV metres/sec). Scores were dichotomised as High Stiffness ≥ 9.3 m/sec or Low Stiffness < 9.3 m/sec.
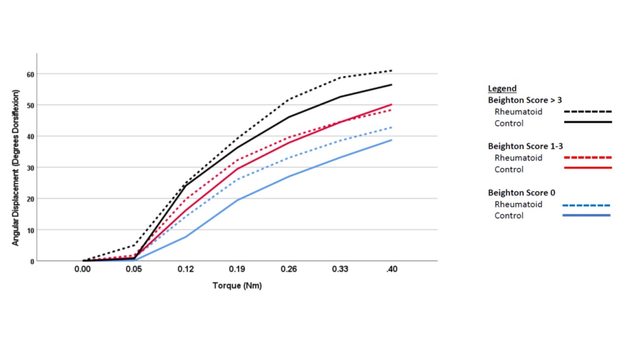
Results: Reproducibility (ICC/Kappa): AD0.33 0.94, BS 0.67, SKST 0.27 and PWV 0.99. Stress-Strain responses curves found that R-MCPJ5 assessments correlate with BS. BS correlated with AD0.33 in ACPA+RA (BS0:37, BS1-3:45, BS>3:54, p0.000) and Control (BS0:33, BS1-3:45, BS1-3:53, p0.000). High PWV ( >9.3 m/sec) was associated with lower AD0.33 in ACPA+RA (38 vs 47, p0.011) and Controls (38 vs 43, p0.206). Linear regression found negative correlation with AD0.33 in ACPA+RA (β -0.06, p 0.002) and Controls (β -0.03, p 0.115). PWV correlated negatively with BS in ACPA+RA (BS0:10.5, BS1-3:9.4, BS>3:9.4, p0.207) and Controls (BS0:9.4, BS1-3:9.8, BS>3:7.1, p0.004). SKST correlated with lower AD0.33 significantly in RA <5 years duration (31 vs 44, p0.027) with similar trends for BS in ACPA+RA (BS0:11%, BS1-3:12% BS>3:13%, p0.746) and in Controls for AD0.33 (39 vs 43, p0.2638) and BS (BS0:10%, BS1-3:12%, BS>3:15%, p0.008). Skin stiffness correlated with PWV in Control (OR 1.91, p0.242) and ACPA+RA (Odds Ratio 2.2, p0.157). In RA ≤5 years duration no subjects with High PWV had Low skin stiffness (OR infinite, p0.000). Linear regression PWV correlated negatively with SKST in ACPA+RA of less than 5 years duration (β -0.18, p 0.057) and Controls (β -0.10, p 0.081).
Conclusion: R-MCPJ5 assessments are representative of total body articular biomechanical properties. There is correlation between articular, arterial and skin biomechanical characteristics supporting the construct of CS. CS is a plausible common determinant of articular and arterial disease.
Right 5th MCPJ Stress-Strain responses for Rheumatoid Arthritis (dashed lines) and Control (solid lines) subjects. For both groups there is correlation between Right 5th MCPJ Stiffness (Strain responses measured as dorsal angular displacement) and Overall Total Body Articular Stiffness (Beighton Score).
Arterial Stiffness (Carotid-Femoral Pulse Wave Velocity) versus Articular Stiffness in RA (red) and Control (black) Groups. Scatterplots with univariate linear regression lines of best fit. Note that Articular stiffness has been expressed as (90 minus Angular Displacement degrees dorsiflexion) so that greater values indicate greater stiffness.
Arterial Stiffness (Carotid-Femoral Pulse Wave Velocity) versus Skin Stiffness in RA <5 years duration (red) and Controls (black). Scatterplots with univariate linear regression lines of best fit. Note that skin stretch is expressed as 40 - Percent stretch so that higher values represent greater stiffness.
S. Oakley: AbbVie/Abbott, 5, 6, Eli Lilly, 6, GlaxoSmithKlein(GSK), 6, Novartis, 6, UCB, 6; S. Stott: None; K. Gill: None; C. Virgil: None; L. Weston: None; T. de Malmanche: None.