Mayo Clinic Health System - Mankato Mankato, MN, United States
Disclosure information not submitted.
Qiping Xu and Xuanling Du, Mayo Clinic Health System, Mankato, MN
Background/Purpose: Sarcopenia, which refers to the loss of muscle strength and mass, has been linked to adverse health outcomes. Although several systemic reviews have reported a high prevalence of sarcopenia in rheumatoid arthritis (RA) patients, the impact of sarcopenia on all-cause mortality in this population remains unclear. This study aims to determine the prevalence of sarcopenia in RA patients in a nationally representative cohort and evaluate its association with all-cause mortality in US adults with and without RA.
Methods: The study utilized data from the National Health and Nutrition Examination Survey (NHANES) 1999–2006, along with linked mortality data from the National Death Index up to the end of 2019. Sarcopenia was defined using the Foundation for the National Institutes of Health (FNIH) 2014 sarcopenia criteria: appendicular lean mass (ALM) divided by BMI (< 0.789 in men;< 0.512 in women). Rheumatoid arthritis cases were self-reported physician diagnoses. Population estimates, including prevalence and hazard ratio (HR), were generated by incorporating sample weights and cluster information. Four multivariate Cox proportional hazard models were constructed successively to produce adjusted HRs.
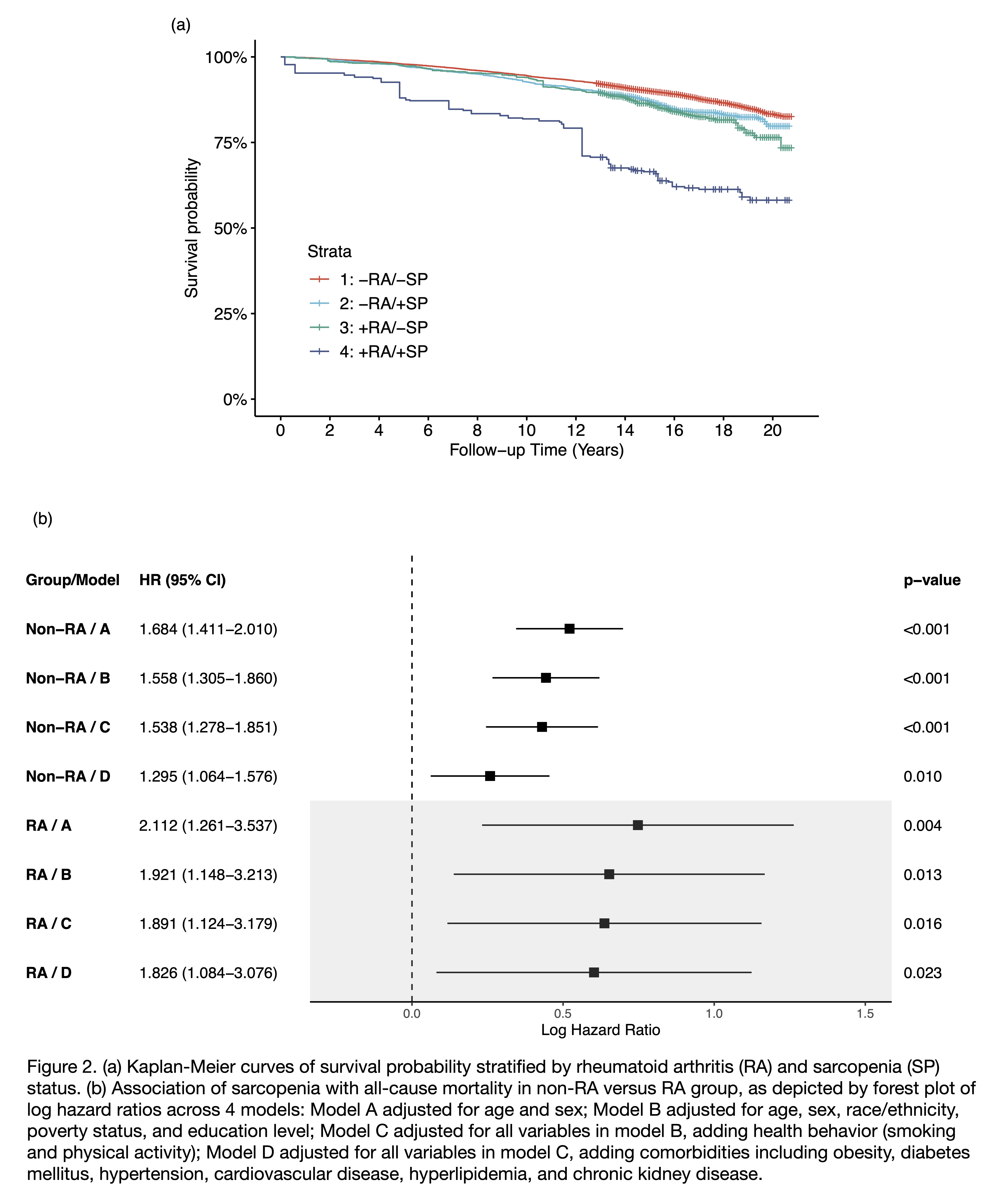
Results: The final cohort included 11909 participants aged 20 to 69, among which were 558 cases of rheumatoid arthritis (table 1).Figure 1 indicates that individuals with RA had a significantly higher age-standardized prevalence of sarcopenia compared to those without RA (11.3 % vs. 7.3 %). Notably, Hispanics had a significantly higher prevalence of sarcopenia than the rest of the population, with rates of 25.6% and 16.1% among individuals with RA and non-RA, respectively. Regarding survival analysis, the median follow-up time for RA and non-RA group was 17 and 16.8 years. After adjusting for age and sex, the unweighted Kaplan-Meier curve revealed that sarcopenic RA patients had the highest overall mortality (Figure 2a). Across all four adjusted Cox models, individuals with sarcopenia had a higher risk of mortality regardless of whether they had RA or not (Figure 2b). Despite all four Cox models providing higher estimates of HRs for sarcopenia in the RA group as compared to the non-RA group, the differences were not statistically significant given the overlapping confidence intervals.
Conclusion: In a nationally representative cohort, the study found a higher prevalence of sarcopenia in individuals with RA, and a significant increase in all-cause mortality associated with sarcopenia with or without RA.