Maulana Azad Medical College New Delhi, Delhi, India
Disclosure information not submitted.
Srijan Mittal1, Vanshita Batra1, Parikshit Sen2, Saadia Sasha Ali3, Arpit Mago4, Mark Russell5, Eugenia Gkiaouraki6 and Rohit Aggarwal6, 1Maulana Azad Medical College, New Delhi, India, 2Maulana Azad Medical College, 2-Bahadurshah Zafar Marg, New Delhi, Delhi-110002, India., Dalhi, India, 3King's College Hospital, Epsom, United Kingdom, 4Jawaharlal Nehru Medical College, Belgaum, India, 5King's College Hospital, London, United Kingdom, 6University of Pittsburgh, Pittsburgh, PA
Background/Purpose: Myositis is a rare complex autoimmune disease that is less known and poorly understood, with increased effort required for education of practitioners, students, educators, and patients. Social media platforms offer immense potential for rare disease education, though assessment of baseline knowledge is crucial to develop a comprehensive health education program disseminated through social media. We assessed the current level of knowledge and understanding of myositis, and explored preferred methods of learning, among social media respondents to develop a social media-based myositis education program.
Methods: A validated, pilot tested baseline self-reporting survey was circulated on Twitter, and all respondents >18 years were invited to participate. The survey collected data on demographics, country of residence, profession, and sources of health-related information used for learning. Respondents reported their perceived level of knowledge of myositis on a 5-point Likert scale from 1 (very low) to 5 (very high). Level of knowledge, pattern of twitter activity, and sources of health information used were compared between the different groups through descriptive statistics.
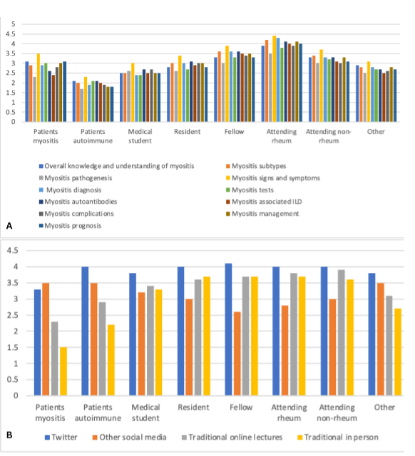
Results: A total of 504 participants responded to the survey, with 48.2% females, ranging from 18-20 to >70 years, with most in the 30–40-year age group (31.1%), from 66 countries across six continents, mostly from the United States (37.5%), India (15.66%) and the United Kingdom (5.79%) (Fig 1A). Respondents included patients (25.2%), trainees (26.1%) from medical student to residents and fellows, as well as faculty (27.8%) from various specialties (Figure 1B, Table 1). The overall knowledge of myositis increased with a higher level of medical training with mean (SD) score of 2.5 (0.9) in medical students, 2.8 (0.8) in residents, 3.3 (0.6) in fellows, and 3.9 (0.6) among attending rheumatologists, where 1 was 'very low' while 5 was 'very high'. Importantly, the overall knowledge of myositis amongst myositis patients and autoimmune patients were 3.1 (0.9) and 2.1 (1.0) respectively indicating a low to medium level (Fig 2A). Myositis pathogenesis was least understood followed by myositis ILD and myositis complications. Social media was reported as the most common platform to be used amongst all respondents for medical educational content, however traditional in person and online lectures remain important for medical personnel (Fig 2B). Patients clearly favored social media for their knowledge.
Conclusion: The overall knowledge of myositis remains low amongst patients. In the medical community overall myositis knowledge is low to moderate among trainees, though increases medical training progresses. Social media is commonly used by patients, students and doctors to access educational content on myositis, though traditional lectures remain important among the medical community. This provides an excellent means to educate patients and clinicians alike about this rare condition which may in turn may improve patient outcomes.
Table 1. Demographic, level of current knowledge and use of educational platforms of respondents
Fig 1. Country-wise (A) and specialty wise (B) distribution of respondents
Fig 2. Self-reported level of knowledge on topics in myositis (1 very low, 2 Low, 3 Medium, 4 High, 5 Very High) (A) and use of educational platforms for medical or patient educational content/material by respondent (0 never, 1 rarely, 3 sometimes, 4 often, 5 regularly) (B)