0950: KL-6 and IL-18 Levels Are Negatively Correlated with Respiratory Function Tests and ILD Extent Assessed on HRCT in Patients with Systemic Sclerosis-related Interstitial Lung Disease (SSc-ILD)
Complejo Asistencial Universitario de León Leon, Spain
Disclosure information not submitted.
Cristiana Sieiro Santos1, Sara Calleja2, Javier de la Calle Lorenzo2, Carmen López Garay2, Clara Moriano2, Elena Bollo de miguel2 and Elvira Díez Álvarez2, 1Complejo Asistencial Universitario de León, León, Spain, 2CAULE, León, Spain
Background/Purpose: Interstitial lung disease (ILD) is one of the leading causes of mortality in patients with systemic sclerosis (SSc). Serum biomarkers have been suggested as indicators for pulmonary damage with clinical value in the diagnosis and prognosis of SSc-ILD.Our objectives are to investigate the role of serum biomarkers (Krebs von den Lungen-6 KL-6, IL-18 and IL-18BP) as potential biomarkers reflecting the severity of SSc-ILD as assessed through high-resolution computed tomography (HRCT) and pulmonary function tests (PFT), including forced vital capacity (%FVC) and diffusing capacity of the lung for carbon monoxide (%DLCO).
Methods: A cross-sectional study including patients with SSc fulfilling the 2013 ACR/EULAR criteria was performed. Patients were classified according to disease duration and pulmonary involvement (presence of ILD). All SSc patients underwent chest HRCT scans and pulmonary function test at baseline. Serum concentration of KL-6, IL8 and IL18BP were determined using sandwich ELISA technique (solid phase sandwich Enzyme Linked-Immunosorbent Assay), with kits from MyBiosource for KL-6 and from Invitrogen for IL18 and IL18BP. A semiquantitative grade of ILD extent was evaluated through HRCT scan (grade 1, 0–20%; grade 2, >20%). Extensive lung disease was defined as >20% of lung involvement on HRCT, and FVC < 70% predicted and limited lung involvement as ≤20% of ILD involvement on HRCT, and an FVC ≥70% predicted.
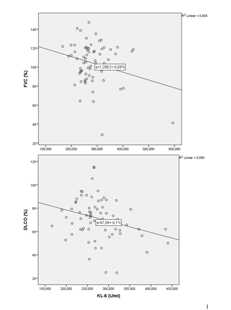
Results: 74 patients were included, 27% were male. The mean age at diagnosis was 57.5±15 years. The mean time since diagnosis was 7.67±8 years. 28 patients had ILD (38%). 64 % of patients had < 20% of ILD extent classified through HRCT scan. SSc-ILD patients had elevated serum KL-6 and IL-18 levels compared to patients without ILD (p=0.003 and p=0.04), and those findings were preserved after adjusting for age and sex (table 1). Mean erythrocyte sedimentation rate (ESR) was higher in patients with SSc-ILD. A negative correlation between KL-6 levels and %FVC (β=-0.25, p 0.037) and %DLCO (β=-0.28, p 0.02) and between IL-18 levels and %FVC (β=-0.20, p 0.03) and %DLCO (β=-0.14, p 0.04) were found. Linear regression models representing correlation between KL-6 and PFT are represented in the scatter plot in figure 1. Serum KL-6 and IL-18 levels successfully differentiated grades 1 and 2 (p = 0.028 and p=0.021). Semiquantitative grades of ILD on the HRCT scan were significantly proportional to the KL-6 (p 0.01) and IL-18 (p=0.03). A positive correlation between extensive lung disease and KL-6 (β=0.61, p 0.007) but not with IL-18 was found.
Conclusion: Serum KL-6 levels and IL-18 were increased in patients with SSc-ILD and showed a positive correlation with ILD severity as measured using a semiquantitative HRCT grading scale and a negative correlation with PFT parameters. KL-6 is positively correlated with extensive lung disease. Serum KL-6 and IL-18 could be a clinically useful biomarker in screening and evaluating SSc-ILD.
C. Sieiro Santos: None; S. Calleja: None; J. de la Calle Lorenzo: None; C. López Garay: None; C. Moriano: None; E. Bollo de miguel: None; E. Díez Álvarez: None.