Peking University People's Hospital Beijing, Beijing, China
Disclosure information not submitted.
Qinghong Liu1 and Jing He2, 1Peking University People's Hospital, Beijing, China, 2Peking University People’s Hospital, Beijing, China
Background/Purpose: Primary Sjögren's syndrome (pSS) is an autoimmune disease characterized by systemic involvement and lacks effective treatment options. The Janus kinase (JAK) pathway plays a pivotal role in cytokine signaling pathways that contribute to the pathogenesis of SS. This study aims to investigate the underlying mechanisms and therapeutic efficacy of the JAK inhibitor, tofacitinib, in primary Sjögren's syndrome.
Methods: We enrolled 10 patients with active pSS and administered oral tofacitinib, assessing disease activity scores, laboratory parameters, and immune cell subsets. Additionally, NOD mice were treated with either tofacitinib or vehicle, and we evaluate saliva flow rates, immune cell subsets, and submandibular gland (SMG) pathology.
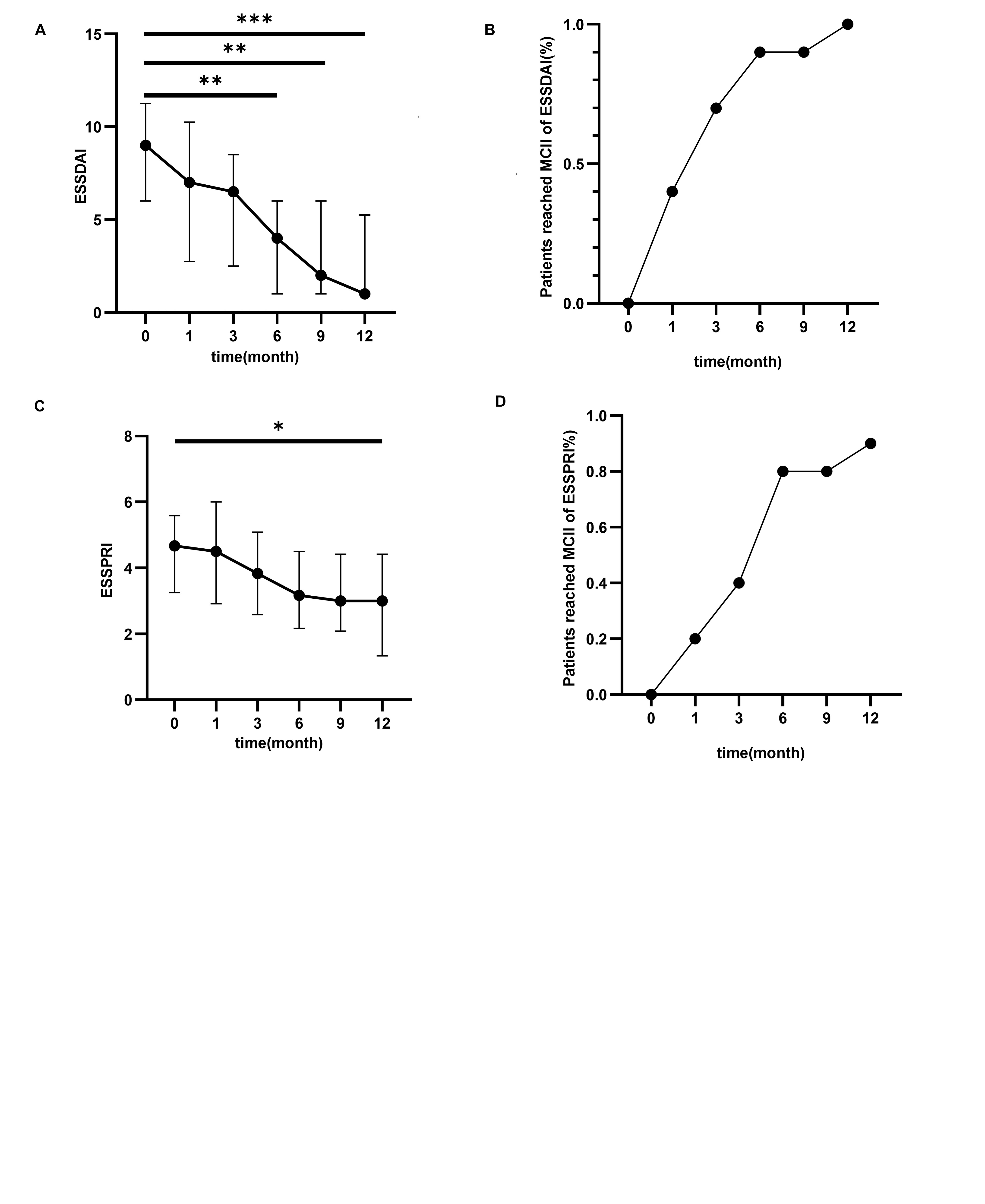
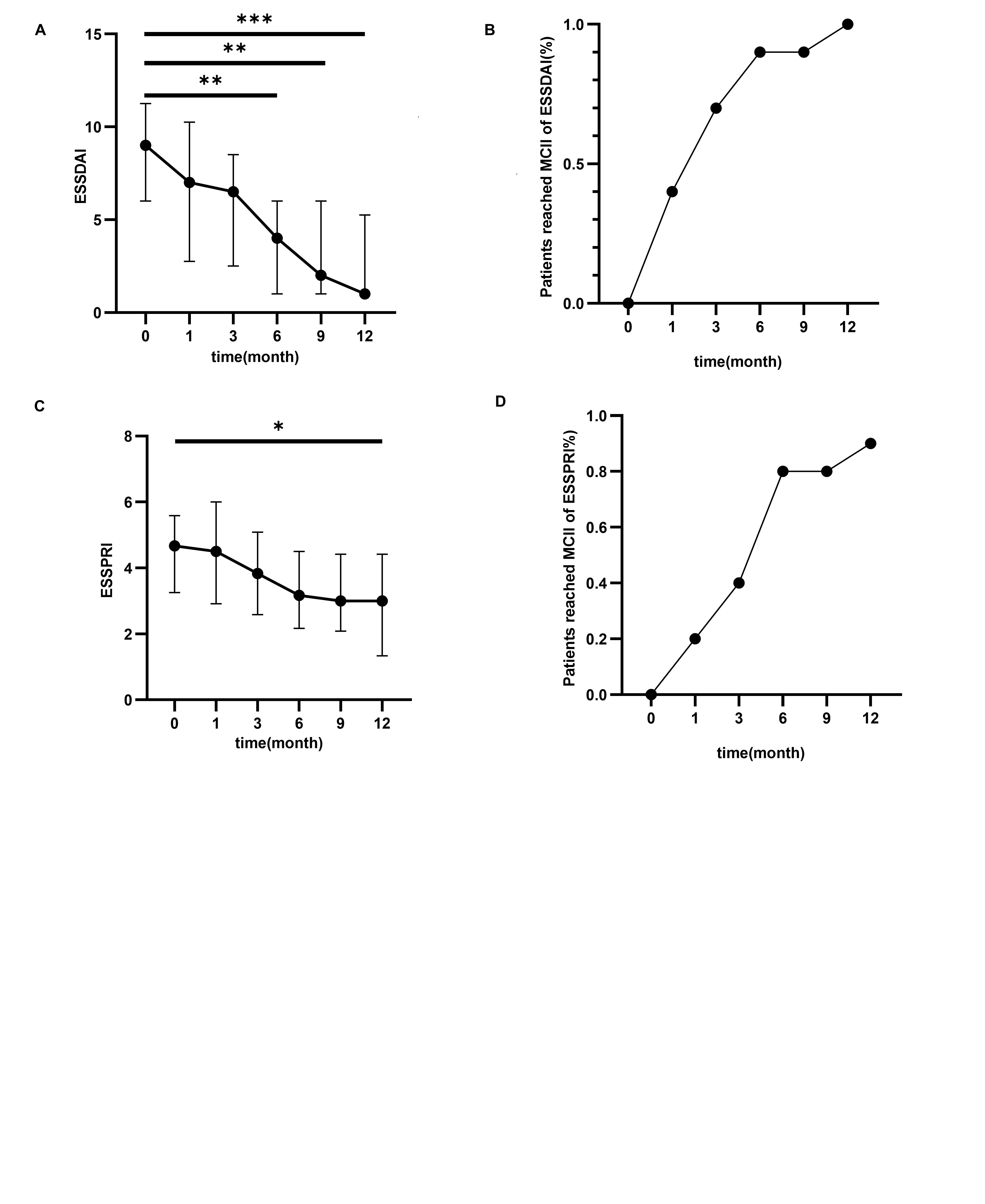
Results: Following tofacitinib treatment, a significant decrease in ESSDAI scores was observed at the 6th compared to baseline ( 9(6, 11.25) vs 4(1, 6), (p=0.002)).Additionally, at 6 months, 80% of patients achieved MCII of ESSPRI, which was defined as an improvement of ESSPRI at least one point or 15%.Notably, arthritis exhibited significant improvement at the 6th month compared to baseline (p=0.020). No serious adverse events were observed. In tofacitinib-treated mice, the results demonstrated a significant increase in saliva production compared to the control group from weeks 8 to 14 (4.20( 3.29, 4.41)mg/min vs 5.74( 4.44,6.15)mg/min, p=0.033), and SMGs exhibited fewer lymphocytic infiltrations and foci under a photomicroscope. Finally, immunological analysis revealed that both NOD mice and pSS patients exhibited a decrease in effector follicular helper T (Tfh) cells and peripheral helper T cells (Tph cells), which correlated positively with the level of pSTAT-3 in CD4+ T cells and disease activity scores.
Conclusion: Our findings demonstrate that the dosage of 5 mg tofacitinib twice a day proven to be effective and safe for the management of pSS. Tofacitinib inhibits the progression of pSS in both murine models and patients, potentially through the regulation of T cell differentiation.
Clinical response to tofacitinib treatment. Changes of ESSDAI (A) , ESSPRI (C) score of pSS patients after the treatment of tofacitinib. After 6 months of treatment, 90% patients achieved MCII of ESSDAI (B) and 80% patients achieved MCII of ESSPRI (D). ESSPRI, EULAR primary SS Patient Reported IndESSDAex; ESSDAI, EULAR primary SS Disease Activity Index. ( *P<0.05; **p<0.01; ***p<0.001. )
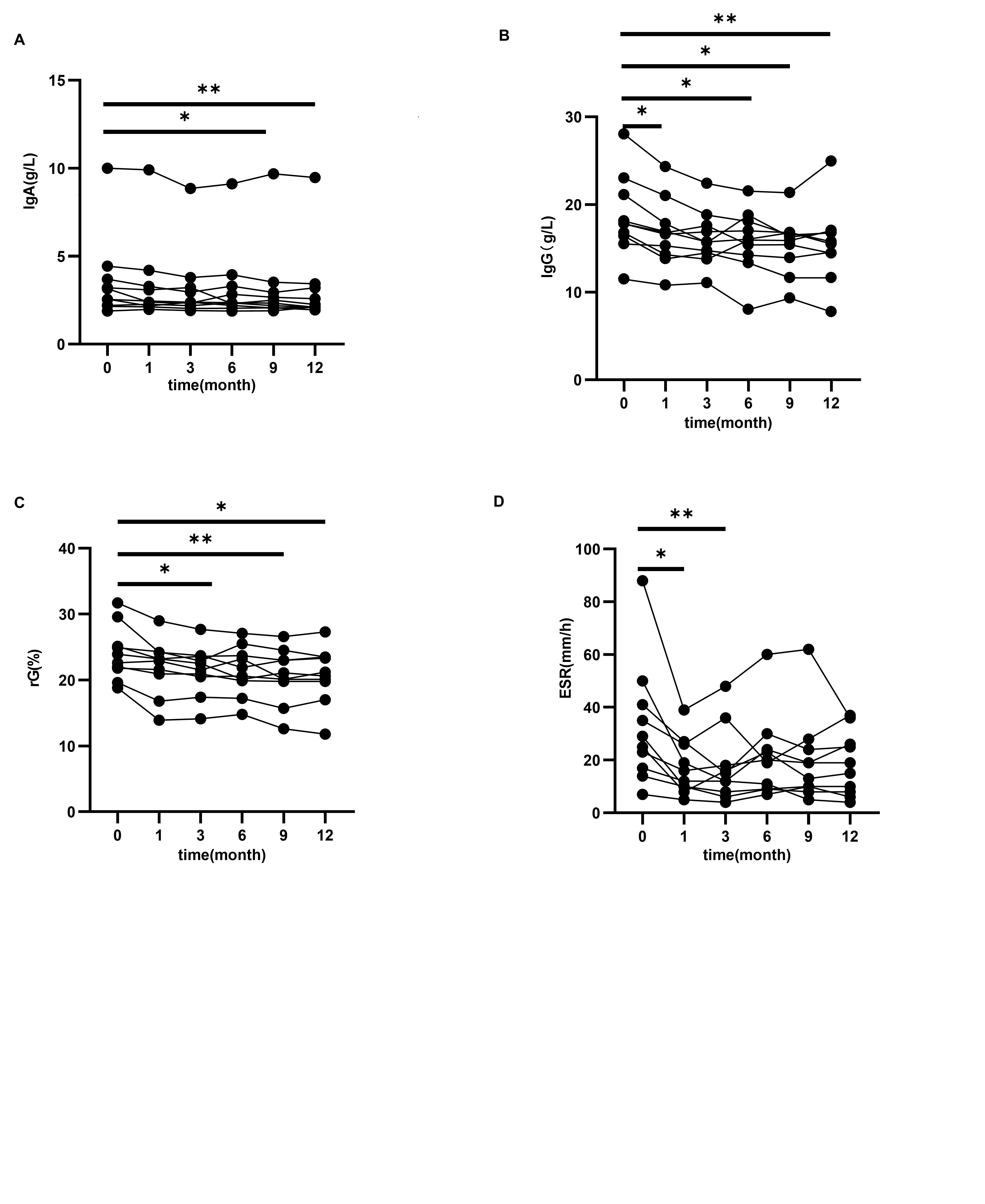
Longitudinal follow-up of laboratory values during the trial. (A) A decrease in the IgA level was observed at the 9th and 12th month compared with that at baseline (p=0.028 and p=0.004, respectively); (B) A decrease in the IgG level was observed at the 1st, 6th, 9th and 12th month compared with that at baseline (p=0.011, p=0.015, p=0.023 and p=0.008, respectively). (C) A decrease in γG level was observed at the 3rd, 9th and 12th month compared with that at baseline (p=0.018,p=0.008 and p=0.013, respectively). (D) A decrease in the ESR level was observed at the 1st, 3rd month compared with that at baseline (p=0.004, p=0.004); ( *P<0.05; **p<0.01; ***p<0.001. )