MetroWest Medical Center Framingham, MA, United States
Disclosure information not submitted.
Palapun Waitayangkoon1, Tatchaya Kanthajan2 and Thiratest Leesutipornchai3, 1MetroWest Medical Center, Framingham, MA, 2Srinakharinwirot University, Bangkok, Thailand, 3University of Hawaii, Honolulu, HI
Background/Purpose: Recent studies have suggested that hyperuricemia is significantly associated with an increased prevalence of atrial and ventricular arrhythmias and urate-lowering therapy (ULT) may provide cardioprotective effects by lowering uric acid level and via drug's direct effects. However, research on the effects of ULT and arrhythmia risk is limited. We aim to conduct a systematic review and meta-analysis exploring the relationship between ULT and incident arrhythmias.
Methods: Potentially eligible studies were identified from PubMed and Embase databases from inception to May 2023. Search terms were derived from terms related to "Arrhythmias" and "Urate-lowering therapy". The eligible study must be cohort study that consists of one cohort of patients with ULT use and another cohort of comparators without ULT use. The study must compare the prevalence of cardiac arrhythmias in each group and report effect size with 95% confidence intervals (95% CIs). The Newcastle-Ottawa quality assessment scale was used to evaluate the quality of the included studies. We performed the meta-analysis by using a random-effects model. The heterogeneity of effect size estimates was assessed using forest plots and the Q and I2 statistics.
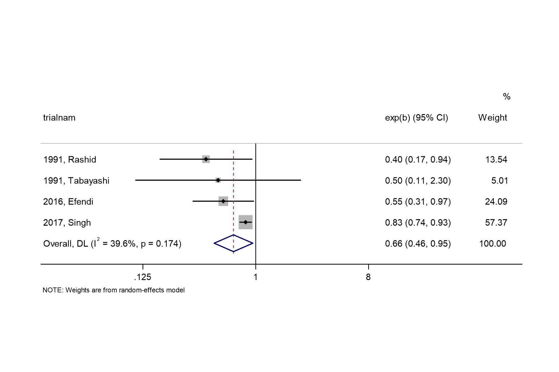
Results: Six studies were included in the analysis with a total of12,435 subjects (7,404 subjects in ULT group and 5,031 in non-ULT group). Our results showed that ULT users had significant reductions in the risk of arrhythmias (pooled RR 0.79, 95% CI: 0.67–0.93, p = 0.004, I2= 8.4%) compared to non-ULT users (Figure 1). Subgroup analysis showed that ULT users had a reduced risk of atrial fibrillation (pooled RR 0.76, 95% CI: 0.59–0.98, p = 0.034 with I2 =12.2%) compared to non-ULT users (Figure 2), and that allopurinol users had a reduced risk of arrhythmia (pooled RR 0.66, 95% CI: 0.46–0.95, p = 0.024 with I2= 39.6%) compared to non-allopurinol users (Figure 3).
Conclusion: Our results indicate that ULT may play a potential role in protecting arrythmias in addition to lowering uric acid level. Further investigation is needed to elucidate our results and explore the detailed mechanisms.
Figure 1. Forest plot of the meta-analysis for urate-lowering therapy and risk of arrhythmias
Figure 2. Forest plot of the meta-analysis for urate-lowering therapy and atrial fibrillation
Figure 3. Forest plot of the meta-analysis for allopurinol and arrhythmias
P. Waitayangkoon: None; T. Kanthajan: None; T. Leesutipornchai: None.