Samsung Changwon Hospital Changwon-si, South Korea
Disclosure information not submitted.
Jiwon Hwang1, Yeonghee Eun2, Kyungdo Han3 and Joong Kyong Ahn2, 1Samsung Changwon Hospital, Sungkyunkwan University School of Medicine, Changwon, South Korea, 2Kangbuk Samsung Hospital, Sungkyunkwan University School of Medicine, Seoul, South Korea, 3Department of Statistics and Actuarial Science, Soongsil University, Seoul, South Korea
Background/Purpose: Previous studies have suggested a link between systemic sclerosis (SSc) and cardiovascular disease, but large-scale data are still lacking due to the nature of rare autoimmune diseases. We aimed to compare the incidence of myocardial infarction (MI) and stroke in patients with SSc and age- and sex-matched controls in a nationwide population-based cohort in Korea.
Methods: We included patients with SSc defined by the ICD-10 code (M34) and rare and intractable disease code (V138) and 1:5 age- and sex-matched controls using the Korean National Health Insurance Database. The outcomes of the study were MI and stroke. Cox proportional hazard analysis and Kaplan-Meier curve were used to compare the incidence of outcomes between patients with SSc and controls.
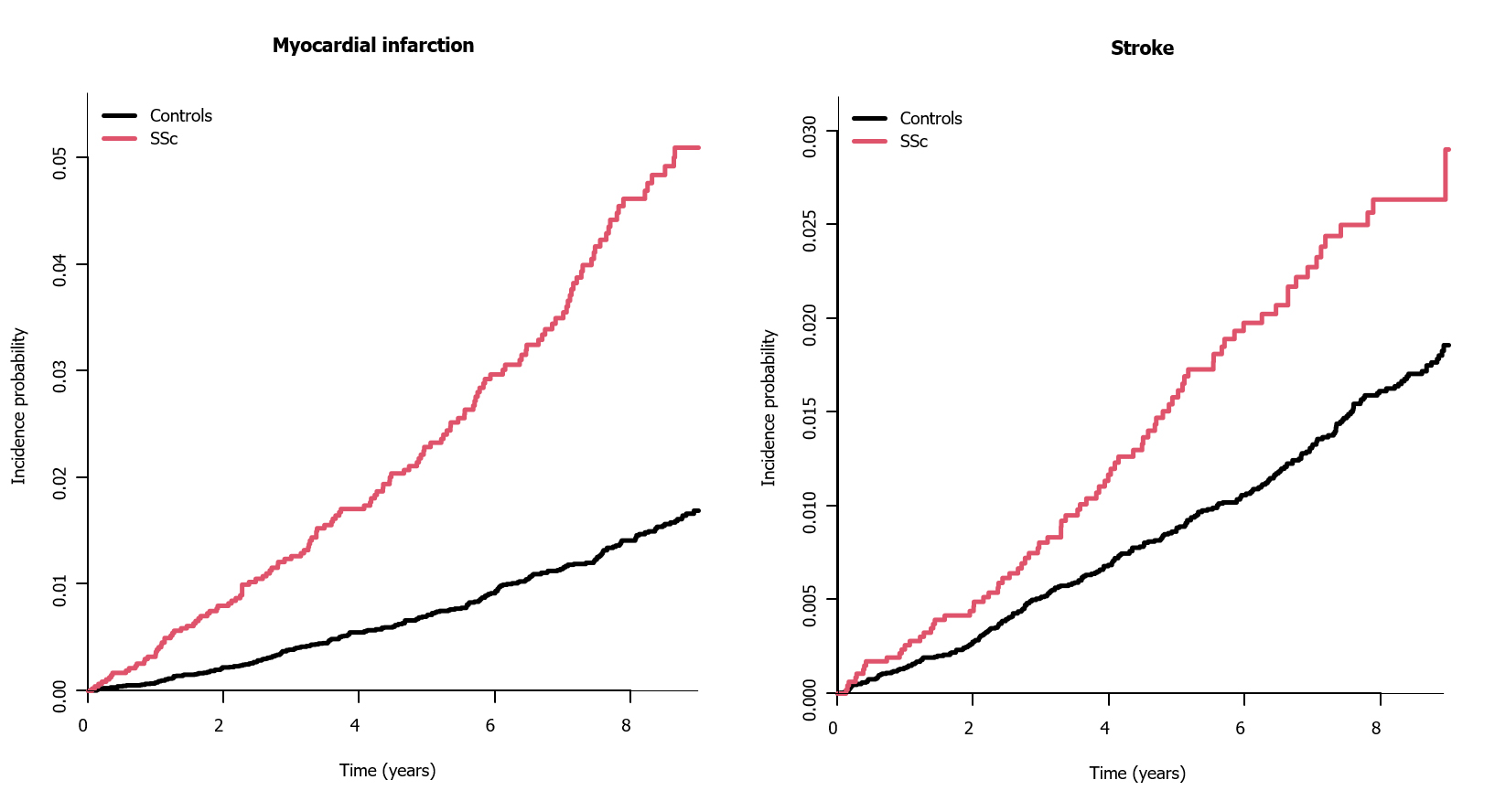
Results: A total of 4700 patients with SSc and 23500 controls were included in the study. The mean follow-up period was 5.6 ± 2.8 years. At baseline, patients with SSc had higher prevalent rates of comorbidities such as hypertension, hyperlipidemia, and congestive heart failure than controls. Patients with SSc had a 3-fold higher risk of MI (adjusted hazard ratio [aHR] 3.01, 95% confidence interval [CI] 2.41–3.76) and a 1.7-fold higher risk of stroke (aHR 1.65, 95% CI 1.28–2.14) compared to controls. There were no differences in the association between SSc and MI or stroke by age, sex, or comorbidities.
Conclusion: This nationwide population-based cohort study revealed an association between SSc and increased risk of MI and stroke. Therefore, careful monitoring and preventive measure for the cardiovascular diseases in patients with SSc are required.
Cumulative incidence of myocardial infarction and stroke
J. Hwang: None; Y. Eun: None; K. Han: None; J. Ahn: None.