Anna-Maria Hoffmann-Vold1, Liubov Petelytska2, Havard Fretheim1, Trond Mogens Aaløkken3, Mike Becker4, Cathrine Brunborg5, Cosimo Bruni6, Christian Clarenbach7, Phuong Phuong Diep8, Rucsandra Dobrota6, Michael Durheim9, Muriel Elhai10, Thomas Frauenfelder11, Suzana Jordan6, Emily Langballe12, Oyvind Midtvedt1, Carina Mihai6, Oyvind Molberg13 and Oliver Distler6, 1Oslo University Hospital, Oslo, Norway, 2Bogomolets National Medical University, Kyiv, Ukraine, 3Dept of Radiology, Oslo University Hospital, Oslo, Norway, 4Department of Rheumatology, University Hospital Zurich, University of Zurich, Zürich, Switzerland, 5Oslo Centre for Biostatistics and Epidemiology, Research Support Services, Oslo University Hospital - Rikshospitalet, Oslo, Norway, 6Department of Rheumatology, University Hospital Zurich, University of Zurich, Zurich, Switzerland, 7Dept of Pulmonology, University Hospital Zurich, University of Zurich, Zurich, Switzerland, 8Dept of Respiratory diseases, University Hospital Oslo, Oslo, Norway, 9Dept of Respiratory diseases, Oslo University Hospital, Oslo, Norway, 10University Hospital zurich, University of Zurich, Zurich, Switzerland, 11Dept of Radiology, University Hospital Zurich, University of Zurich, Zurich, Switzerland, 12Universitetet i Oslo, Oslo, Norway, 13Dept of Rheumatology, University Hospital Oslo, Oslo, Norway
Background/Purpose: We have previously shown that short term progression of interstitial lung disease (ILD) in systemic sclerosis (SSc) is associated with mortality. However, it is less clear how multiple progressive ILD events over years affect mortality. The objective was to determine the number of progressive SSc-ILD events over three years and assess its impact on mortality.
Methods: We included all SSc patients from two expert SSc centers with well characterized SSc cohorts who had ILD on HRCT, consecutive annual lung functions including forced vital capacity (FVC) and diffusing capacity for carbon monoxide (DLCO) and comprehensive serial clinical and imaging assessments available. ILD progressive events were observed over a follow-up period of 3 years segregated in no, 1 or >1 progressive event using:
(A) FVC ≥5% decline over 12 months
(B) 2022 ATS/ERS/JRS/ALAT guideline progressive pulmonary fibrosis (PPF) criteria with (1) worsening of respiratory symptoms; (2) absolute decline in FVC ≥5% or in DLCO ≥10% and (3) disease progression on HRCT over 12 months
(C) INBUILD progressive fibrosing ILD (PF-ILD) criteria with (1) relative FVC decline ≥10%, (2) relative FVC decline ≥5-< 10% and worsening of respiratory symptoms or an increased extent of fibrosis on HRCT, or (3) worsening of respiratory symptoms and an increased extent of fibrosis within 24 months
(D) Composite decline with FVC ≥10% decline; or FVC ≥5%-9% and DLCO ≥15% over 12 months
Survival was assessed with Kaplan-Meier survival estimates. Multivariable Cox regression was applied, adjusting for known risk factors including treatment to identify the impact of multiple progressive ILD events on mortality.
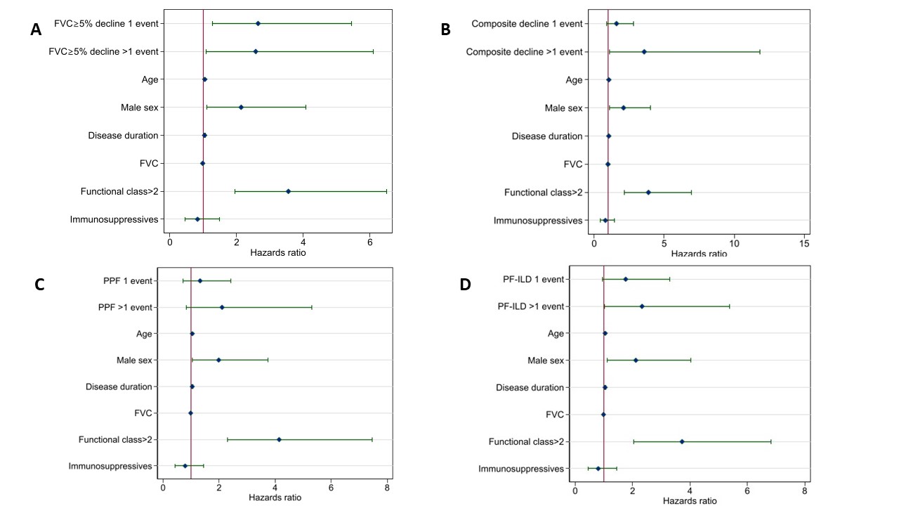
Results: In total, 231 SSc-ILD patients were included. The number of progressive events varied depending on the applied definition, with FVC ≥5% decline showing >1 event over 3 years in 17%, compared to 5% using composite decline, 7% using PPF and 11% using the PF-ILD criteria (Figure 1). Over the observation period of 7.7 (SD3.9) years, 81 (35%) died. When assessing the impact of number of events on survival by Kaplan Meier estimates, we found significant difference for FVC ≥5% decline, composite decline, PF-ILD but not PPF (Figure 2).When assessing the impact of number of progressive events on mortality compared to no progression adjusted for other known risk factors, we identified that >1 events of PF-ILD and composite decline were associated with increased mortality (Figure 3).
Conclusion: ILD progression has a major impact on long-term outcome with even one event of FVC≥5% decline reducing long-term survival, but with multiple events further reducing survival. It is therefore of high importance to prevent progression in SSc-ILD to improve survival.
Figure 1: Prevalence of number of progressive events applying different definitions of progressive ILD
Figure 2: Survival estimates segregated by number of progressive events using FVC ≥5% decline (p=0.008); (B) composite decline (p=0.015), (C) PPF (p=0.169) and (D) PF-ILD (p<0.001)
Figure 3: The impact of number of progressive ILD events using (A) FVC ≥5% decline; (B) Composite decline; (C) PPF and (D) PF-ILD on mortality compared to no even
A. Hoffmann-Vold: Arxx Therapeutics, 2, Boehringer-Ingelheim, 2, 5, 6, 12, Support for travel, Genentech, 2, Janssen, 2, 5, 6, Medscape, 2, 6, 12, Support for travel, Roche, 2, 6, 12, Support for travel; L. Petelytska: None; H. Fretheim: actelion, 5, bayer, 2, Boehringer-Ingelheim, 6, GlaxoSmithKlein(GSK), 5; T. Aaløkken: Boehringer-Ingelheim, 6; M. Becker: Amgen, 6, Bayer, 6, GSK, 6, Mepha, 6, MSD, 6, Novartis, 6, Vifor, 6; C. Brunborg: None; C. Bruni: AbbVie/Abbott, 5, Boehringer-Ingelheim, 2, 12, Travel Support, Eli Lilly, 6; C. Clarenbach: AstraZeneca, 1, 6, Boehringer-Ingelheim, 1, 6, CSL Behring, 1, 6, Daiichi Sankyo, 1, GlaxoSmithKlein(GSK), 1, 6, Grifols, 1, 6, Merck/MSD, 1, OM Pharma, 1, 6, Sanofi, 1, 6, Vifor, 1, 6; P. Diep: Boehringer-Ingelheim, 6, Roche, 6; R. Dobrota: Actelion, 5, 6, Amgen, 5, Articulum Fellowship, sponsored by Pfizer, 5, Boehringer-Ingelheim, 6; M. Durheim: Boehringer-Ingelheim, 2, 5, 6, Roche, 6; M. Elhai: AstraZeneca, 12, Travel to Congress support, Janssen, 12, Congress support; T. Frauenfelder: Boehringer-Ingelheim, 6; S. Jordan: None; E. Langballe: None; O. Midtvedt: None; C. Mihai: Boehringer-Ingelheim, 2, 5, 6, Janssen, 2, MED Talks Switzerland, 2, Mepha, 2, PlayToKnow AG, 2; O. Molberg: None; O. Distler: 4P-Pharma, 2, 5, 6, AbbVie, 2, 5, 6, Acceleron, 2, 5, 6, Alcimed, 2, 5, 6, Altavant Sciences, 2, 5, 6, Amgen, 2, 5, 6, AnaMar, 2, 5, 6, Arxx, 2, 5, 6, AstraZeneca, 2, 5, 6, Bayer, 2, 5, 6, Blade Therapeutics, 2, 5, 6, Boehringer Ingelheim, 2, 5, 6, Citus AG, 12, Co-Founder, Corbus Pharmaceuticals, 2, 5, 6, CSL Behring, 2, 5, 6, Galapagos, 2, 5, 6, Galderma, 2, 5, 6, Glenmark, 2, 5, 6, Gossamer, 2, 5, 6, Horizon Therapeutics, 2, 5, 6, Janssen, 2, 5, 6, Kymera, 2, 5, 6, Lupin, 2, 5, 6, Medscape, 2, 5, 6, Miltenyi Biotec, 2, 5, 6, Mitsubishi Tanabe, 2, 5, 6, MSD, 2, 5, 6, Novartis, 2, 5, 6, Patent issued “mir-29 for the treatment of systemic sclerosis” (US8247389, EP2331143), 10, Prometheus Biosciences, 2, 5, 6, Redx Pharma, 2, 5, 6, Roivant, 2, 5, 6, Topadur, 2, 5, 6.