Centre ARThrite - CHU de Québec - Université Laval Quebec, QC, Canada
Disclosure information not submitted.
Nathalie Amiable1, Mehdi Benlarbi2, Mathieu Dube3, Sonia Theriault4, Alexandra Godbout1, Anne-Sophie Julien5, Gloria-Gabrielle Ortega-Delgado6, Melina Duchesne7, Rose Cloutier8, Josee Perreault9, Annie Gravel10, Lison Fournier11, Giuliana Alfonso12, Josiane Bourre-Tessier13, Marie Hudson14, Nicolas Richard15, Jean-Paul Makhzoum16, Arielle Mendel17, Sasha Bernatsky12, Marc Dionne18, Michael Libman19, Gaston De Serres20, Mélanie Dieudé21, louis Flamand22, Daniel Kaufmann23, Andrés Finzi24, Renée Bazin25, Ines Colmegna26 and Paul R. Fortin27, 1Centre ARThrite - CHU de Quebec - Universite Laval, Quebec City, QC, Canada, 2CRCHUM, Université de Montréal, Montreal, QC, Canada, 3Centre de recherche du Centre Hospitalier de l'Université de Montréal, Montreal, QC, Canada, 4The Research Institute of the McGill University Health Centre, Montreal, QC, Canada, 5Département de mathématiques et statistique, Université Laval, Québec, QC, Canada, 6Centre de Recherche du CHUM, Montreal, QC, Canada, 7Centre de recherche du Centre Hospitalier de l'Universitaire de Montréal, Montreal, QC, Canada, 8Centre de recherche hospitalier de l'Université de Montréal, Montreal, QC, Canada, 9Hema-Quebec, Quebec City, QC, Canada, 10CHU de Québec - CHUL Axe des Maladies Infectieuses et Immunitaires, Quebec City, QC, Canada, 11Centre de recherche du CHU de Quebec - Université Laval, Quebec City, QC, Canada, 12Research Institute of the McGill University Health Centre, Montreal, QC, Canada, 13Centre hospitalier de l'Université de Montréal (CHUM), Université de Montréal, Montréal, QC, Canada, 14McGill University, Montréal, QC, Canada, 15Hopital Maisonneuve Rosemont, Montreal, QC, Canada, 16Vasculitis Clinic, Canadian Network for Research on Vasculitides, Hopital du Sacre-Coeur de Montreal, Montreal, QC, Canada, 17McGill University Health Centre, Montréal, QC, Canada, 18Centre de recherche du CHU de Québec - Université Laval, Quebec City, QC, Canada, 19McGill Centre for Viral Diseases, Montreal, QC, Canada, 20Centre de recherche du CHU de Québec – Université Laval, Quebec City, QC, Canada, 21Microbiology, Infectiology and Immunology Department, Faculty of Medicine, Université de Montréal, CHUM Research Center, Héma-Québec, Montreal, QC, Canada, 22Centre ARThrite - CHU de Quebec - Université Laval, Quebec City, QC, Canada, 23University of Montreal, University of Lausanne, Lausanne University Hospital, Montreal, QC, Canada, 24Université de Montréal, Montreal, QC, Canada, 25Héma-Québec, Affaires Médicales et Innovation, Quebec City, QC, Canada, 26The Research Institute of the McGill University Health Centre, Montréal, QC, Canada, 27Centre ARThrite - CHU de Québec - Université Laval, Quebec City, QC, Canada
Background/Purpose: Patients with rheumatic diseases (RD) on rituximab (RTX) have increased mortality following COVID-19 and reduced antibody response post-vaccine. We tested whether a mix-and-match strategy using a novel protein subunit vaccine (PSV) is safe and enhances vaccine-specific responses in those who have received >3 messenger RNA (mRNA) vaccine doses.
Methods: We recruited adults with RDs on RTX post-3rd/4th dose of a mRNA COVID-19 vaccine in an open label, non-randomized, comparative trial. Post-3rd dose participants chose to receive either a 4th dose of mRNA Spikevax® (Moderna mRNA-1273) or PSV Nuvaxovid® (Novavax NVX-CoV2373) vaccines. Patients enrolled post-4th mRNA dose were offered Nuvaxovid®as their 5th. Self-reported reactogenicity at 7 days and adverse events at 28 days were noted. Humoral and cellular vaccine-responses were determined pre and 28 days post-vaccine. We tested for anti-spike (anti-S) by plasma binding on D614G Spike transfected HEK293T cells and measured by flow cytometry, anti-receptor binding domain (anti-RBD) and anti-nucleocapsid (anti-N) by in-house ELISA, and serum neutralizing antibodies (NAbs) using Wuhan and BA.5 pseudotyped lentiviruses. In 19 participants receiving a 4th dose, we tested for spike-specific B, CD4 and CD8 T cell responses by flow cytometry using RBD-B and activation-induced marker (AIM) assays. We used descriptive statistics for demographics, reactogenicity and immunogenicity and ANOVA tests to assess the impact of a booster dose on vaccine-induced immune responses.
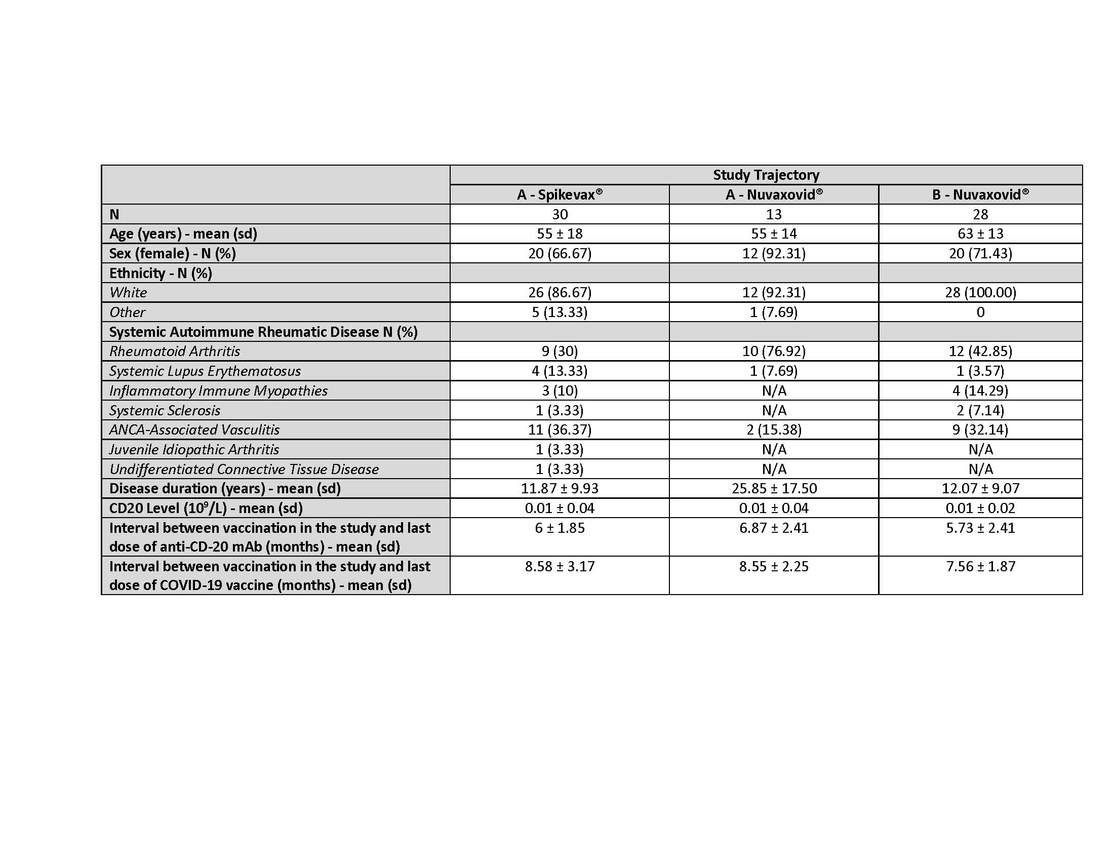
Results: Table 1 summarizes data on the first 71 participants (4th dose Spikevax® = 30, 4th dose Nuvaxovid® = 13 and 5th dose Nuvaxovid® = 28). Reactions to the vaccine at 7 days were frequent but not severe. Most common was fatigue, headache, injection site pain and arthralgias. At day 28, five new COVID-19 infections (one requiring hospitalization) and seven disease flares were reported. Table 2 reports anti-S, anti-RBD, anti-N, and NAbs to Wuhan and BA.5. Anti-S levels (Figure 1) were higher in those receiving 5th versus 4th dose. In those to whom we gave a 4th vaccine, we observed higher anti-S levels post mRNA (p < 0.001) but this was not clearly seen when the 4th dose was PSV. Most (16/19) of those tested post 4th dose had no detectable RBD B cell responses while three patients had higher B cells numbers and measurable RBD B cell responses. In contrast, the cohort demonstrated good Spike-specific intact and measurable AIM+ CD4 and CD8 T cell responses that did not increase post 4th dose.
Conclusion: Mix-and-match booster dosing was not clearly associated with unusual vaccine reactions, adverse events or disease flares in RTX-treated RD patients. In those who had already received 3 mRNA doses, there was a significant increase in anti-S levels after receiving a 4th mRNA vaccine but not when the 4th vaccine was PSV. Humoral and RBD-B-cell responses increased with a fourth dose. AIM+ CD4 and CD8 T cell responses were intact, showing a disconnect with weak B cell frequencies. We did not see a clear benefit for PSV compared to mRNA booster (after primary mRNA vaccine series) in RTX-treated RD patients. This may have important implications for COVID vaccine strategies in 2023-2024.
Table 1 – Patient characteristics and time intervals between previous dose of rituximab mAb or previous vaccination and repeat vaccine.
Table 2 – Levels of anti-S, anti-RBD, anti-N and titers of neutralizing antibodies pre and 28-days post repeat vaccination.
Figure 1. Anti-Spike levels pre and 28 days post-vaccination
N. Amiable: None; M. Benlarbi: None; M. Dube: None; S. Theriault: None; A. Godbout: None; A. Julien: None; G. Ortega-Delgado: None; M. Duchesne: None; R. Cloutier: None; J. Perreault: None; A. Gravel: None; L. Fournier: None; G. Alfonso: None; J. Bourre-Tessier: Abbvie, 2, AstraZeneca, 2, Gsk, 2, 6, Teva, 2; M. Hudson: AstraZeneca, 6, Boehringer-Ingelheim, 1, 5, 6, Bristol-Myers Squibb(BMS), 5, Merck, 6, UCB, 5; N. Richard: AbbVie/Abbott, 2, 6, AstraZeneca, 2, Eli Lilly, 2, Janssen, 2, 6, Novartis, 2, 6, Pfizer, 2, UCB, 2; J. Makhzoum: None; A. Mendel: None; S. Bernatsky: None; M. Dionne: None; M. Libman: None; G. De Serres: None; M. Dieudé: None; l. Flamand: None; D. Kaufmann: None; A. Finzi: None; R. Bazin: None; I. Colmegna: None; P. Fortin: AbbVie, 1, AstraZeneca, 1, 6, GlaxoSmithKlein(GSK), 1, 6, Roche-Genentech, 1.