Megan Sullivan1, Maximiliano Diaz-Menindez2, Colleen T. Ball2, Benjamin Wang3 and Florentina Berianu1, 1Mayo Clinic Florida, Jacksonville, FL, 2Mayo Clinic Jacksonville, Jacksonville, FL, 3Mayo Clinic, Jacksonville, FL
Background/Purpose: Idiopathic inflammatory myopathies (IIMs) are a group of autoimmune disorders that cause inflammation of the muscle. This includes dermatomyositis and polymyositis. Literature has been strongly supportive of the use of capillaroscopy, particularly in dermatomyositis, for diagnosis and prognosis. However, many studies compare capillaroscopy in IIM to other rheumatic diseases such as scleroderma. There are few studies comparing capillaroscopy in IIM to control populations. We report our findings against a healthy control population who do not have a history of Raynaud’s or connective tissue disease.
Methods: Between January 2018 and 2023 we performed capillaroscopy in patients with diagnoses of dermatomyositis or polymyositis following their first visit with active disease. For the primary analysis, we used multivariable linear regression to estimate the difference in mean NVC scores between IIM patients and controls adjusting for age, sex, and smoking history; 95% confidence intervals (CIs) were reported. NVC scores included capillaroscopy density, dilated capillaries, giant capillaries, micro hemorrhages, capillaries ramification, and capillaries disorganization. In the subset of patients with IIM, we explored associations of patient characteristics with NVC scores using single variable linear regression model; regression coefficients and corresponding 95% confidence intervals were reported. All P values are two sided without adjustment for multiple testing. P values less than 0.05 were considered statistically significant.
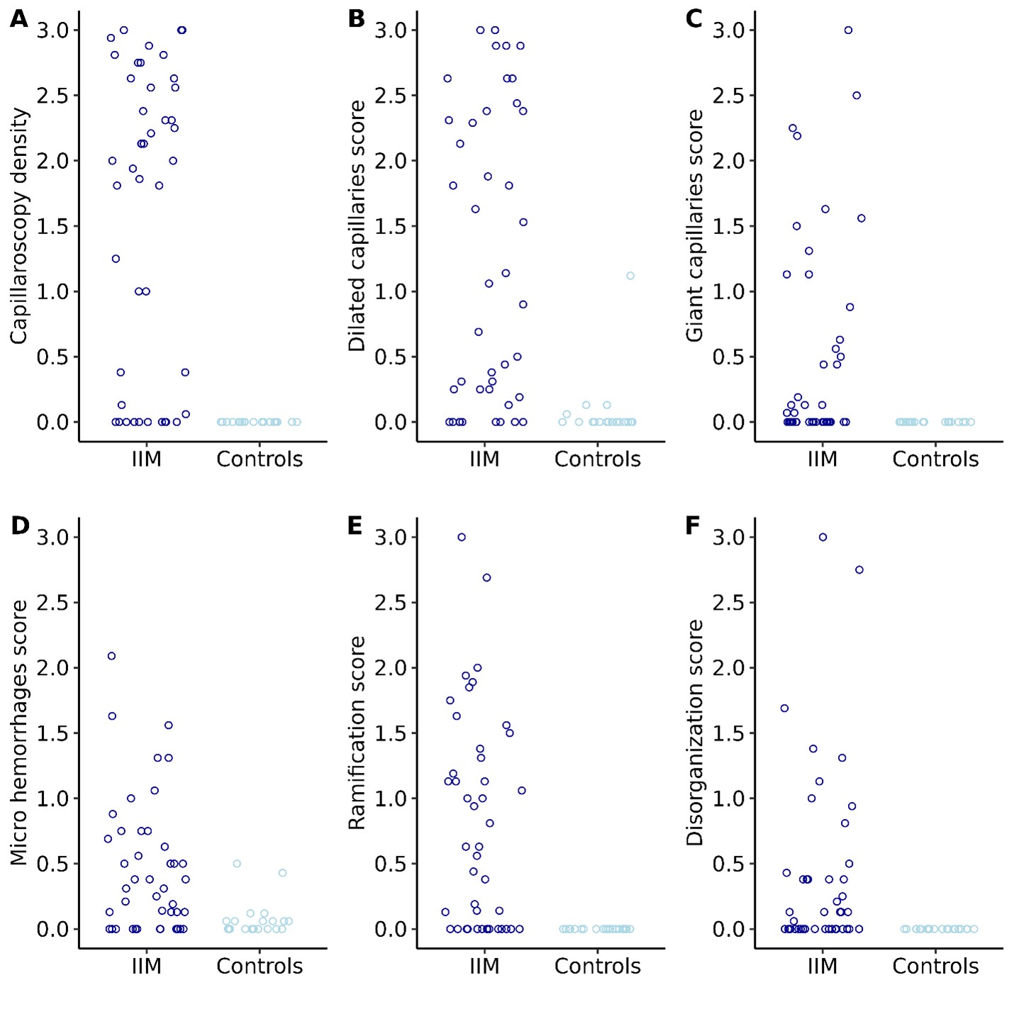
Results: Baseline characteristics for 44 patients with IIM and 21 controls are shown in Table 1. Patients in the IIM group were more likely to have higher NVC scores compared to controls after adjusting for age, sex, and smoking history (Figure 1).
In Table 2 we explore associations of patient characteristics with NVC scores using single variable linear regression in the subset of patients with IIM. The mean giant capillaries score was 1.1 points higher for those with diminished upper extremity muscle strength (95% CI 0.5 to 1.8 points).IIM patients with associated cancer had mean ramification scores that were 0.8 points higher (95% CI 0.1 to 1.6 points) and mean disorganization scores that were 0.9 points higher (95% CI 0.3 to 1.5 points) than IIM patients without associated cancer.
Conclusion: Nailfold videocapillaroscopy shows statistically significant differences in density, dilation, giant capillaries, micro hemorrhages, ramification, and disorganization when compared with healthy controls. Exploratory analysis suggests there may be a correlation between giant capillary frequency with muscle strength as well as an increase in ramification and disorganization in those with malignancy-related myositis.
Table 1. Baseline Characteristics
Figure 1. Jitter Plot of Nailfold Videocapillaroscopy Scores Points were jittered horizontally to minimize overlap of points.
Table 2. Single Variable Linear Regression Exploring Associations of Characteristics with Nailfold Videocapillaroscopy Scores in Patients with IIM
M. Sullivan: None; M. Diaz-Menindez: None; C. Ball: None; B. Wang: None; F. Berianu: None.