Xiangya Hospital, Central South University Changsha, Hunan, China
Disclosure information not submitted.
Ying Hu1, Hongyi He2, Yuqing Zhang3, Houchen Lyu4, Chao Zeng2, Jie Wei5 and Guanghua Lei2, 1Department of Epidemiology and Health Statistics, Xiangya School of Public Health, Central South University, Changsha, China, 2Department of Orthopaedics, Xiangya Hospital, Central South University, Changsha, China, 3Division of Rheumatology, Allergy, and Immunology, Department of Medicine, Massachusetts General Hospital, Boston, MA, 4Chinese PLA General Hospital, Department of Orthopedics, Beijing, China, 5Health Management Center, Xiangya Hospital Central South University, Changsha, China
Background/Purpose: Gut microbiota has been increasingly recognized as important and novel targets for rheumatic diseases. However, previous studies mostly examined the associations, leaving causality largely unknown, which hinders the clinical application of gut microbiota in preventing and treating rheumatic diseases.
Methods: We performed Mendelian randomization (MR) analysis to investigate the causal associations between gut microbiota and rheumatic diseases. The genetic instruments for 141 gut microbiota taxa were extracted from the published genome-wide association study (GWAS) of individuals with European ancestry (N=18,340), and the summary statistics for 14 rheumatic diseases (sample size ranges from 6,190 to 417,596) were obtained from publicly available GWASs and the FinnGen database. Several MR methods (e.g., inverse-variance weighted and weighted median) were used to examine the causal association, and bi-directional MR and colocalization analyses were performed to examine the potential bi-directional causality and whether the gut microbiota and rheumatic disease share the same causal variant, respectively.
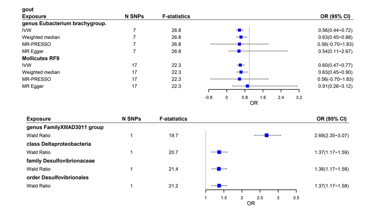
Results: Six pairs of relations between gut microbiota and rheumatic diseases remained statistically significant after multiple testing (FDR < 0.05), among which Genus FamilyXIIIAD3011 group (odds ratio [OR]=2.68, 95% CI=2.35-3.07), class Deltaproteobacteria (OR=1.37, 95% CI=1.17-1.59), family Desulfovibrionaceae (OR=1.36, 95% CI=1.17-1.58) and order Desulfovibrionales (OR=1.36, 95% CI=1.17-1.58) increased the risk of ankylosing spondylitis. Genus Eubacterium brachy group (OR=0.57, 95% CI=0.44-0.72), order Mollicutes RF9 (OR=0.61, 95% CI=0.48-0.77) decreased the risk of gout. Among them, the results were consistent across different MR methods. Using colocalization analysis, we identified that class Deltaproteobacteria, family Desulfovibrionaceae, and order Desulfovibrionales shared the same genetic variants with ankylosing spondylitis. No evidence of bi-directional causality was found between microbiota and rheumatic disease.
Conclusion: We identified and provided genetic evidence for six novel causal associations between gut microbiota taxa and rheumatic diseases. If confirmed by future animal studies or clinical trials, our results can serve as new clinical targets for rheumatic diseases and thus is conducive to the prevention and treatment of ankylosing spondylitis and gout.
Figure 1. Mendelian randomization results of the correlations between 141 gut microbiota taxa and 14 rheumatic diseases. The red color represents a detrimental effect, while blue represents a protective effect of the gut microbiota on the rheumatic disease. The shade of color represents the significance of associations. Statistically significant (FDR < 0·05) results are indicated by an asterisk (*).
Figure 2. Forest plot for gout and ankylosing spondylitis N SNPs, number of genetic instruments; OR, odds ratio; CI, confidence interval; IVW, inverse-variance weighted; MR-PRESSO, MR pleiotropy residual sum and outlier. Wald ratio was calculated per SNP. If there were more than one SNP, IVW (primary), weighted median, and other MR methods were used to pool the result.
Table 1. Bi-directional Mendelian randomization and colocalization results for gut microbiota and rheumatic diseases
Y. Hu: None; H. He: None; Y. Zhang: None; H. Lyu: None; C. Zeng: None; J. Wei: None; G. Lei: None.