2555: Cluster Analysis Reveals Subgroups in Patients with Serologically Active Clinically Quiescent Systemic Lupus Erythematosus: Implication for Long-term Prognosis Prediction
Peking Union Medical College BEIJING, Beijing, China
Disclosure information not submitted.
YuFang Ding1, Qian Wang1, Xinping Tian2, Mengtao Li2, xiaofeng Zeng1 and Jiuliang zhao2, 1Department of Rheumatology, Peking Union Medical College Hospital, Chinese Academy of Medical Sciences & Peking Union Medical College, Beijing, China, 2Peking Union Medical College Hospital, Chinese Academy of Medical Sciences & Peking Union Medical College, Beijing, China
Background/Purpose: Serologically active clinically quiescent (SACQ) is a clinical state of systemic lupus erythematosus (SLE) characterized by high levels of serologic markers without clinical activity. SACQ patients are at potential risk of flares, even organ damage, and thus should be given closer monitoring according to the treat-to-target strategies. However, substantial phenotypic heterogeneity exists in SACQ patients hindering disease management. In this multi-center prospective study, we aimed to determine distinct subgroups among SACQ patients and identify their utility in organ damage prediction.
Methods: SACQ was defined as at least a 6-month period with persistent serologic activity (positive anti-dsDNA antibody, and/or hypocomplementemia), and without clinical activity. Partitioning around medoids (PAM) cluster analysis based on 18 independent components was performed to characterize the phenotypes. The flare was measured according to the SELENA-SLEDAI flare index. Organ damage is principally assessed using the SLICC damage index (SDI).
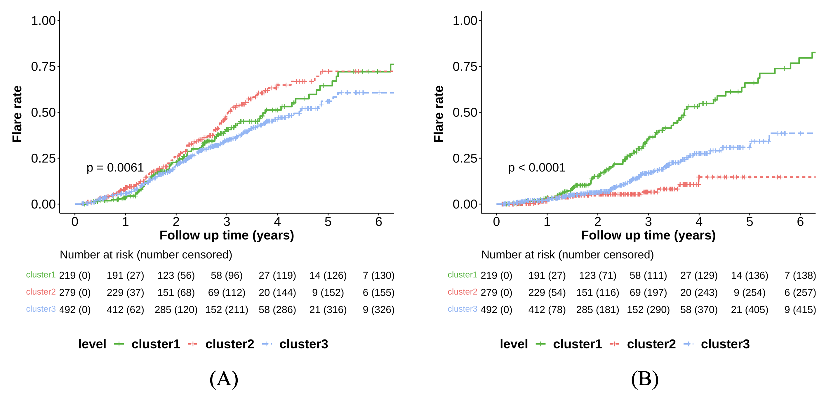
Results: Of 4107 enrolled SLE patients under standard treatment, 990 (17.1%) achieved the state as SACQ in 2.2 years. During the mean follow-up of 7246.8 patient years, 36.7% of SACQ patients experienced at least one flare in 1.7±0.8 years and 16.5% showed organ damage in 3.0±1.9 years. In SACQ patients, three distinct subgroups (Table) with markedly different features and outcomes were identified (Figure 1). Cluster 1 (n=219, 22.1%) was male, elderly patients, with neural involvement and hematological involvement, corresponding to the highest risk of organ damage accumulation (35.6%) (Figure 2). Cluster 2 (n=279, 28.2%) had the lowest rate of major organ involvements and autoantibodies positivity among the three subgroups and corresponded to mild risk of damage accrual (5.7%). Cluster 3 (n=492, 49.7%) was characterized by the highest proportion of lupus nephritis, corresponding to mild risk of flares (32.7%), moderate risk of organ damage (14.0%), and severe risk of renal damage (7.1%). For the management of SACQ, 224 patients tried tapering glucocorticoids. 86 (30.8%) patients in cluster 2 ("mild involvements" cluster) tapered glucocorticoids under tight control and 49 of them withdrawn successfully without flares. In contrast, only 31 (14.2%) patients in cluster 1 ("severe involvements" cluster) tried to withdraw glucocorticoids.
Conclusion: Our study distinguished three distinct clinical patterns and outcomes in SACQ patients. Low-dose glucocorticoid withdrawal under tight surveillance should be considered in SACQ patients without major organ involvement. Classification of SACQ patients into phenotypes with prognostic values may facilitate the individualized management of SACQ patients.
Table. Clinical features of the three clusters.
Figure 1. Heatmap of the cluster analysis.
Figure 2. Cumulative probability of flares (A) and damage accrual rate (B) in the three clusters of SACQ patients
Y. Ding: None; Q. Wang: None; X. Tian: None; M. Li: None; x. Zeng: None; J. zhao: None.