Rheumatology, Hospital Universitario Marqués de Valdecilla Santander, Spain
Disclosure information not submitted.
Fernando López1, Javier Loricera2, Adrián Martín-Gutiérrez3, Carmen Secada3, Santos Castañeda4, Clara Moriano Morales5, Javier Narvaez6, Vicente Aldasoro7, Olga Maiz8, Rafael Benito Melero-Gonzalez9, PALOMA VELA10, Susana Romero Yuste11, Eugenio De Miguel12, Eva Galindez-Agirregoikoa13, Jesús Carlos Fernández López14, Ivan Ferraz Amaro15, Julio Sánchez-Martín3, Jose L. Callejas16, Patricia Moya Albarado17 and Ricardo Blanco18, 1Rheumatology, Hospital Universitario Marqués de Valdecilla, Santander, Spain, 2Hospital Universitario Marqués de Valdecilla, Santander, Spain, 3Department of Rheumatology, Hospital Universitario Marqués de Valdecilla, IDIVAL, Immunopathology Group, Santander, Spain, 4Hospital Universitario de la Princesa, Madrid, Spain, 5Rheumatology, Hospital Universitario de León, León, Spain, 6Hospital Universitario de Bellvitge, Barcelona, Spain, 7Hospital Universitario de Navarra, Pamplona, Spain, 8Hospital Universitario de Donostia. San Sebastián, Spain., Donosti, Spain, 9CHU Vigo, O Carballino, Spain, 10Rheumatology, Hospital General Universitario Alicante, Alicante, Spain, 11Complexo Hospitalario Universitario, Pontevedra, Spain, 12Hospital Universitario La Paz, Madrid, Spain, 13Basurto University Hospital, Bilbao, Spain, 14Rheumatology department, Complexo Hospitalario Universitario A Coruña (CHUAC). Instituto de Investigación Biomédica A Coruña (INIBIC), A Coruña, Spain, 15Hospital Universitario de Canarias, Santa Cruz de Tenerife, Spain, 16Unit of Systemic Autoimmune Diseases, Hospital San Cecilio, Granada, Spain, 17Hospital Universitario de Sant Pau, Barcelona, Spain, 18Hospital Universitario Marqués de Valdecilla, IDIVAL, Santander, Spain
Background/Purpose: Aortic aneurysms is a serious complication that can occur in patients with giant cell arteritis (GCA) (1-2). Tocilizumab (TCZ) is approved for GCA. Nevertheless, to date, the usefulness of TCZ in aortic aneurysms has not been evaluated. Our aim was to assess the role of TCZ in a) prevention of development of aneurysms, and b) impairment of aneurysm if present.
Methods: Observational, multicenter study of 196 patients with aortitis related to GCA treated with TCZ. Patients were diagnosed with GCA accordingly to a) American College of Rheumatology criteria, and/or b) positive biopsy of temporal artery, and/or c) the presence of imaging techniques consistent with LVV.
Patients with GCA-aortitis were divided into two subgroups: a) with, and b) without aortic aneurysms.
Results: We studied 196 (148 women/48 men; mean age 71.3±9.5 years) patients with aortitis related to GCA treated with TCZ. Aortitis was confirmed by PET in all cases. Aortic aneurysms were present in 10 of 196 (5%) patients when TCZ was initiated.
Imaging in follow-up was present in these 10 patients and in 95 of the remaining 186 patients, that were finally studied. Main general features of both groups are shown in TABLE 1. No significant differences were observed between the two groups except for the median serum CRP value, which was higher in the group of patients with aneurysms. After a mean follow-up of 25±19 months, none of the 95 GCA-aortitis patients without aneurysm at TCZ initiation developed any aneurysm.
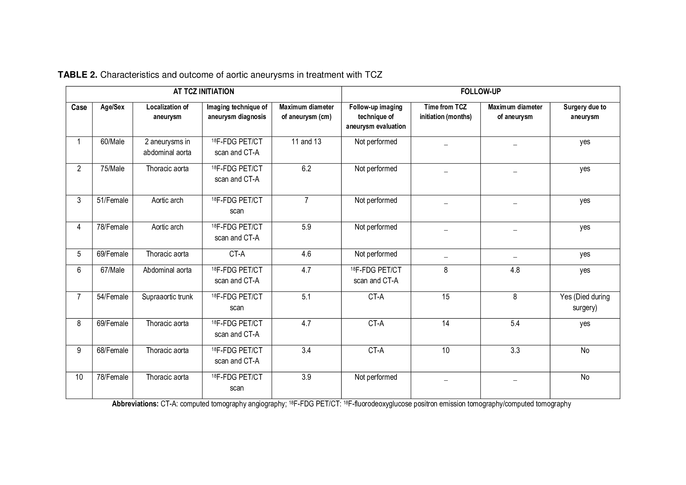
In TABLE 2 are summarized the characteristics and follow-up of the 10 patients with aneurysms. Aneurysms were more frequently located in thoracic segment (n=5; 50%). Early surgery was required in 5 cases at TCZ initiation, and the usefulness of TCZ in these cases could not be assessed. From the remaining 5 patients, 3 patients experienced aneurysm growth despite TCZ therapy and a surgery was required during follow-up. The other 2 patients remained stable and did not require surgery due to the small size of the aneurysm.
Conclusion: Aortic aneurysms is a rare, but not exceptional complication in patients with aortitis related to GCA. In these patients, although TCZ could prevent the development of new aneurysms, it does not appear to prevent aneurysm growth.
References.
Nuenninghoff DM, et al. Arthritis Rheum. 2003. PMID: 14674004
Loricera J, et al. Rev Esp Med Nucl Imagen Mol. 2015. PMID: 26272121
Main features of 196 patients with aortitis related to GCA
Characteristics and outcome of aortic aneurysms in treatment with TCZ
F. López: None; J. Loricera: None; A. Martín-Gutiérrez: None; C. Secada: None; S. Castañeda: None; C. Moriano Morales: None; J. Narvaez: None; V. Aldasoro: None; O. Maiz: None; R. Melero-Gonzalez: None; P. VELA: AbbVie/Abbott, 5, AstraZeneca, 5, Eli Lilly, 5, 6, GlaxoSmithKlein(GSK), 6, Novartis, 5, Pfizer, 5; S. Romero Yuste: AbbVie, 6, AstraZeneca, 6, Biogen, 6, Lilly, 5, 6, Pfizer, 6, Sanofi, 1; E. De Miguel: None; E. Galindez-Agirregoikoa: None; J. Fernández López: None; I. Ferraz Amaro: AbbVie/Abbott, 5, 6, Amgen, 5, 6, Bristol-Myers Squibb(BMS), 6; J. Sánchez-Martín: None; J. Callejas: None; P. Moya Albarado: None; R. Blanco: AbbVie, 5, 6, Amgen, 6, AstraZeneca, 2, BMS, 6, Eli Lilly, 6, Galapagos, 2, 6, Janssen, 2, 6, MSD, 6, Novartis, 2, 6, Pfizer, 2, 6, Roche, 5, 6, Sanofi, 6.