0587: Impact of up to 24 Months Intravenous (IV) Belimumab (BEL) Treatment on Steroid Use and Disease Activity in Patients with SLE in Clinical Practice: Additional Post Hoc Pooled Analysis of Multicountry OBSErve Cohort Data
Daniel Moldaver1, Seth Anderson2, Marguerite Bracher3, Roger A. Levy4, Holly A. Quasny5, Robert Wood6, Rosie Wild6, Alexandra Cusmano6 and Elke Rottier6, 1GlaxoSmithKline, Value Evidence and Outcomes, Ontario, Canada, 2GlaxoSmithKline, Value Evidence and Outcomes, Collegeville, PA, 3GlaxoSmithKline, Value Evidence and Outcomes, Stevenage, United Kingdom, 4GlaxoSmithKline, Global Medical Affairs, Collegeville, PA, 5GlaxoSmithKline, Research & Development, Durham, NC, 6Adelphi Real World, Real-World Evidence, Cheshire, United Kingdom
Background/Purpose: The clinical effectiveness of 6-month IV BEL use in SLE has previously been described in a post hoc pooled analysis from six OBSErve cohort studies.1 Here we present expanded post hoc analysis of eight pooled OBSErve studies investigating the long-term effectiveness of BEL on reducing oral CS (OCS) use and achieving low disease activity (LDA) and remission, which are important treatment targets for SLE to minimize irreversible organ damage.2,3
Methods: This was a post hoc pooled analysis (GSK Study 219649) of data from eight OBSErve studies in Argentina, Canada, Germany, USA, Russia, Saudi Arabia, Spain, and Switzerland. Clinician-reported data were captured for adults with SLE at IV BEL initiation (index) and at 6–24 months after index. All studies captured 6 months of data after index, with Argentina and USA data extending up to 24 months after index. Enrollment was 6 months post index for all studies except Argentina and n=284/501 USA patients (pts) who enrolled 12 months after index. The primary objective was to describe the proportion of pts achieving a daily OCS dose ≤10 mg, ≤7.5 mg, ≤5 mg, or 0 mg at 6, 12, 18, or 24 months after index. Secondary objectives included: the proportion of pts who maintained their 6-month post index daily OCS dose threshold over time; and the proportion of pts achieving LDA (modified Lupus Low Disease Activity State; SLEDAI score ≤4 with no worsening of clinical manifestations and OCS dose ≤7.5 mg/day4) or remission (modified Definition Of Remission In SLE; SLEDAI score=0 and OCS dose ≤5 mg/day5) at 24 months after index.
Results: Data from 959 pts were included. Most pts were from the USA (52.2%), Germany (10.6%), and Argentina (8.4%). At enrollment, the mean age was 41.5 years, 89.5% were female, 64.6% were White (N=878 only); 55.2% had SLE for ≥5 years before enrollment.
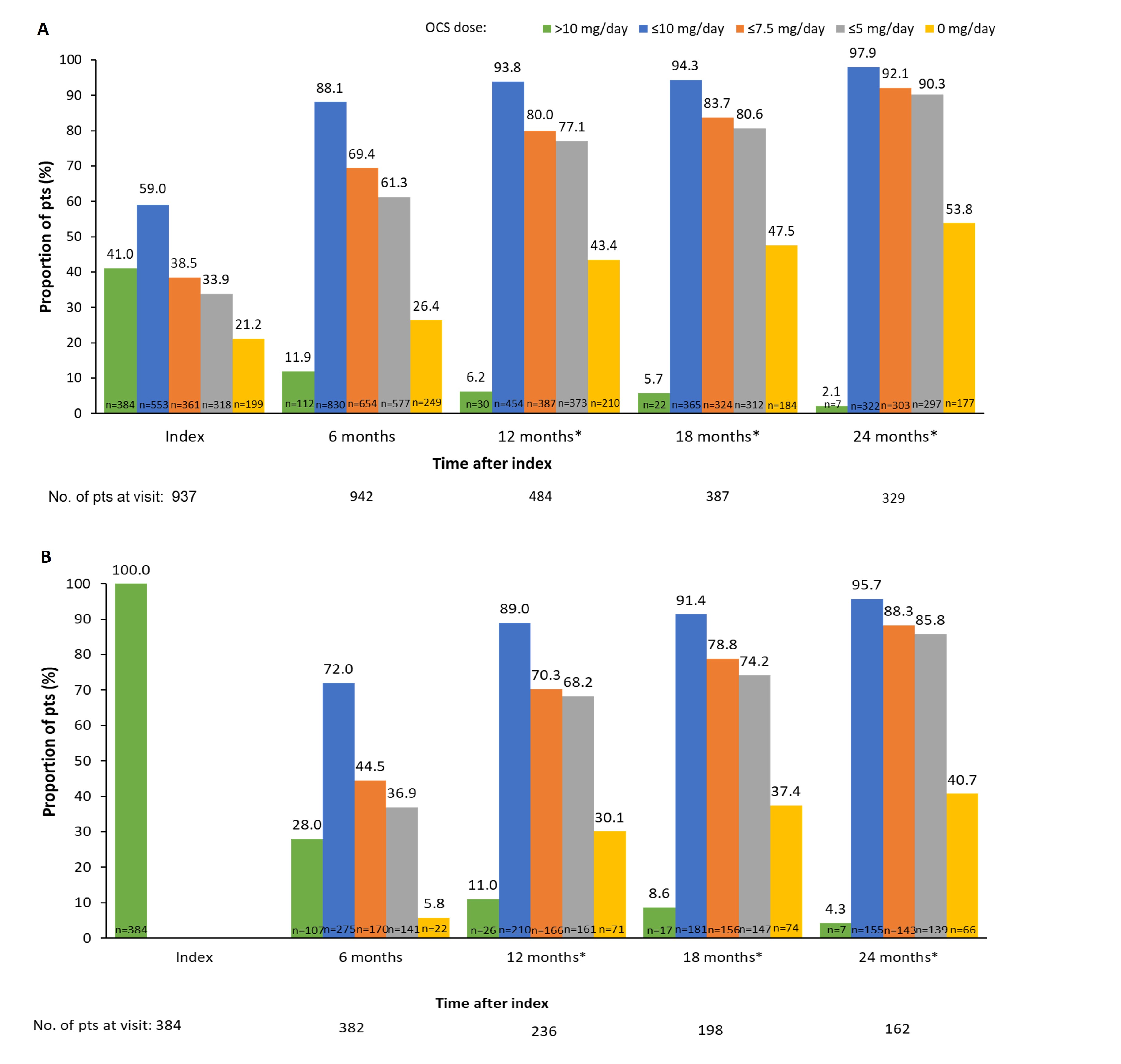
At index, median (interquartile range) OCS dose was 10.0 (5.0, 20.0) mg/day; 14.5% were receiving an OCS dose of >20 mg/day and 41.0% >10 mg/day. The proportion of pts receiving OCS dose ≤7.5 mg/day increased from 38.5% at index to 69.4% at 6 months, 80.0% at 12 months, 83.7% at 18 months, and 92.1% at 24 months (data after 6 months for pooled Argentina/USA only; Figure 1A). A similar trend was seen among those who were receiving >10 mg/day at index (Figure 1B). Over 87% of pts maintained the same OCS low dose threshold at 12, 18, and 24 months as at 6 months after index (Figure 2). At index (N=447), 0.4% of pts were in LDA state and 0.2% in remission. At 24 months, 18.2% and 12.9% achieved LDA and remission, respectively (Table).
Conclusion: These data demonstrate a steroid-sparing effect of long-term BEL use, which was evident from 6 months and maintained over 24 months, as well as an improvement of disease activity indices in pts with SLE, further supporting the effectiveness of IV BEL in real-world SLE clinical management.
Funding: GSK References:
1 Collins CE et al. Rheumatol Ther 2020;7:949–65
2 Fanouriakis A et al. Ann Rheum Dis 2019;78:736–45
3 Golder V et al. Rheumatol 2020;59:(Suppl5)v19–v28
4 Franklyn K et al. Ann Rheum Dis 2016;75:1615–21
5 van Vollenhoven et al. Lupus Sci Med 2021;8:e000538
Figure 1. Summary of OCS use at index and 6, 12, 18, and 24 months after index among all pts (A) and patients receiving OCS >10 mg/day at index (B).
OCS dose=prednisone equivalent. *Among pooled pts in Argentina and the USA where data were captured beyond 6 months post index.
Figure 2. Proportion of pts* maintaining the same threshold of daily OCS dose (≤10 mg, ≤7.5 mg, ≤5 mg, 0 mg) from 6 months after index to 12, 18, and 24 months after index.
OCS dose=prednisone equivalent. *Among pooled pts in Argentina and the USA where data were captured beyond 6 months post index.
Table. Proportion of pts with LDA or remission at index and at 24 months after index.
D. Moldaver: GSK, 3, 11; S. Anderson: GSK, 3, 11; M. Bracher: GSK, 3, 11; R. Levy: GSK, 3, 11; H. Quasny: GSK, 3, 11; R. Wood: Adelphi Real World, 3, GSK, 5; R. Wild: Adelphi Real World, 3, GSK, 5; A. Cusmano: Adelphi Real World, 3, GSK, 5; E. Rottier: Adelphi Real World, 3, GSK, 3, 5.