Session: (0380–0422) RA – Diagnosis, Manifestations, and Outcomes Poster I
0385: Heterogeneity of the Joint Location Supports the Importance of Local Factors in Early RA Synovitis : Analysis of the ERA UCLouvain Brussels Cohort
Laura BRICMAN1, clement triaille2, Francesco Natalucci3, Emilie Sapart2, Tatiana Sokolova4, Aleksandra AVRAMOVSKA1, Thomas KIRCHGESNER5 and Patrick Durez2, 1Rheumatology, Cliniques Universitaires Saint-Luc – Université catholique de Louvain (UCLouvain) – Institut de Recherche Expérimentale et Clinique (IREC), Brussels, Belgium, 2Cliniques Universitaires Saint-Luc – Université catholique de Louvain (UCLouvain) – Institut de Recherche Expérimentale et Clinique (IREC), Rheumatology, Brussels, Belgium, 3UCLouvain University, Sermoneta, Italy, 4Université Catholique de Louvain, Brussels, Belgium, 5Rheumatology, Cliniques Universitaires Saint-Luc Département d'imagerie médicale – Université catholique de Louvain (UCLouvain), Brussels, Belgium
Background/Purpose: ERA is considered to be a systemic disorder, but the role of local factors in driving synovial inflammation is increasingly being recognized. These joint-specific factors may modulate disease phenotype. We will study the spatial distribution of swelling (S), tenderness (T) and erosions in a large cohort of ERA patients to assess the existence of joint patterns. Patients treated with MTX were evaluated after 3 and 6 months for joint swelling (JS).
Methods: This analysis was based on data from our ERA UCLouvain Brussels cohort. The physician assessed prevalence of baseline SJ and TJ status before DMARD initiation. The association between BL swelling, tender, erosions and disease characteristics was investigated for each individual joint. Remission rates (DAS28-CRP < 2.6) in patients treated with MTX were assessed.
Results: 452 newly diagnosed untreated RA patients were included: mostly female (72.3%), mean age 47.5 years, ACPA/RF positivity 64.8% and 63.3%, erosive disease in 44%, mean DAS28CRP - 4.6 and HAQ - 1.23. In total, 18,080 joints were assessed for swelling and tenderness at baseline, of which 20.4% were SJ and 27.6% were TJ. Wrist was the most frequently S and T joint (in 57% and 50.8% of patients), followed by PIP 2 and 3. Assessment of S and T showed a good correlation for most joints, except for shoulder and MTP1.
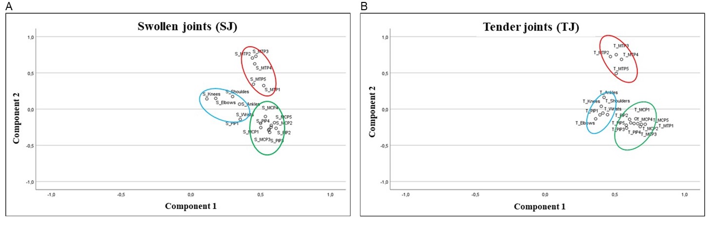
We applied PCA on SJ and TJ matrices to assess for potential clusters of joint prone to be concurrently involved in patients (Figure 1). We found three joint clusters: one with MTP1-5, one with hand joints, and one with larger joints. Wrist seemed to locate at the boundaries between fingers and large joints clusters. Analysis for ACPA-positive and ACPA-negative patients found very similar results. The higher rates of bone erosions were observed in the MTP cluster. Erosions were less frequent in the MCP+PIP, and almost absent in large joint, excepted for wrist.
We then divided the patients into 2 subgroups according the swelling for each joint location and compared clinical characteristics. We found that MTP4,5 are more often S in patients younger than 50 years and MCP2-4 in ≥50 years old patients. Swelling in MCP1,3,4 and MTP1,2,5 is associated with erosive disease, whereas swelling of MTPs (MTP1,2,5) is associated with higher frequency of ACPA. Knee swelling more frequently manifest in non-erosive and seronegative disease. Swelling of multiple joints (knee, elbow, shoulder, ankle, wrist, MCP3, PIP 1-2, and MTP5) associates with a higher DAS28CRP, just as higher HAQ score (knee, shoulder, ankle, MCP 1-5, MTP1,5 and PIP1-2).
We analyzed the impact of MTX montherapy on joint swelling. Number of SJs decreased significantly after 6 months: swelling persisted in 36.3%. We found no significant difference in response and JS persistence. We grouped all joints into the previously identified clusters, but no statistical difference in resolution of JS was observed.
Conclusion: This is the first study investigating the spatial distribution of arthritis in a large cohorts of early untreaded RA using unbiased approach. We identify clusters of simultaneously involved joints (hands and fingers cluster, meta-tarsophalangeal cluster and large joints cluster), supporting the importance of local factors driving synovitis in RA.
Figure 1 The average spatial distribution of SJ (A) and TJ (B)
L. BRICMAN: None; c. triaille: None; F. Natalucci: None; E. Sapart: None; T. Sokolova: None; A. AVRAMOVSKA: None; T. KIRCHGESNER: None; P. Durez: None.