1695: Single Cell Transcriptomics in Kidney Tissue from African American Patients Enrolled in the Accelerating Medicines Partnership (AMP) Implicates Tubular Cells in the Pathogenesis of APOL1 Associated Lupus Nephritis
New York University School of Medicine New York, NY, United States
Disclosure information not submitted.
Philip Carlucci1, Jasmine Shwetar2, Siddarth Gurajala3, Qian Xiao3, Joseph Mears4, Katie Preisinger1, Devyn Zaminski5, Kristina Deonaraine1, Peter Izmirly1, Andrea Fava6, Judith James7, Joel Guthridge7, Brad Rovin8, Sethu Madhavan8, Wade DeJager7, David Wofsy9, Ming Wu2, Chaim Putterman10, Deepak Rao11, Betty Diamond12, Derek Fine13, Jose Monroy-Trujillo13, Kristin Haag14, H Michael Belmont5, William Apruzzese11, Anne Davidson12, Fernanda Payan-Schober15, Richard Furie16, Paul Hoover11, Celine Berthier17, Maria Dall'Era9, Kerry Cho18, Diane L. Kamen19, Kenneth Kalunian20, Jennifer Anolik21, Arnon Arazi22, Soumya Raychaudhuri11, Nir Hacohen23, Michelle Petri24, Robert Clancy25, Kelly Ruggles2, Jill Buyon25 and The Accelerating Medicines Partnership in RA/SLE26, 1New York University School of Medicine, New York, NY, 2NYU Langone, New York, NY, 3Harvard Medical School, Boston, MA, 4Michigan University, Ann Arbor, MI, 5NYU School of Medicine, New York, NY, 6Johns Hopkins University, Baltimore, MD, 7Oklahoma Medical Research Foundation, Oklahoma City, OK, 8Ohio State University, Columbus, OH, 9University of California San Francisco, San Francisco, CA, 10Albert Einstein College of Medicine, Bronx, NY, 11Brigham and Women's Hospital, Boston, MA, 12Feinstein Institutes for Medical Research, Manhasset, NY, 13Johns Hopkins School of Medicine, Baltimore, MD, 14Thomas Jefferson University, Philadelphia, PA, 15Texas Tech University Health Sciences Center, El Paso, TX, 16Northwell Health, Manhasset, NY, 17University of Michigan, Ann Arbor, MI, 18UCSF Health, San Francisco, CA, 19Medical University of South Carolina, Charleston, SC, 20University of California San Diego, La Jolla, CA, 21University of Rochester Medical Center, Rochester, NY, 22Broad Institute of MIT and Harvard, Melrose, MA, 23Broad Institute of MIT and Harvard, Cambridge, MA, 24Department of Medicine, Division of Rheumatology, Johns Hopkins University School of Medicine, Timonium, MD, 25NYU Grossman School of Medicine, New York, NY, 26Multiple, Bethesda, MD
Background/Purpose: The G1 and G2 risk variants (RVs) in Apolipoprotein L1 (APOL1) associate with CKD and may contribute to poorer outcomes for African American (AA) patients with lupus nephritis (LN). While the pathogenetic mechanism for APOL1 related CKD remains unknown, most studies focus on glomerular injury. This study leveraged the multi-center LN AMP to evaluate APOL1 RV associated clinical phenotypes and identify whether these genetic variants influence the transcriptomic landscape in kidney cells.
Methods: LN patients were consecutively enrolled in AMP at the time of a clinically indicated renal biopsy and followed for one year. Dissociated biopsies were passed through a droplet-based single-cell RNA sequencing (scRNAseq) pipeline that included quality control of sequenced libraries. Genotypes for APOL1 RVs were identified by sanger sequencing for all AA patients enrolled with available DNA.
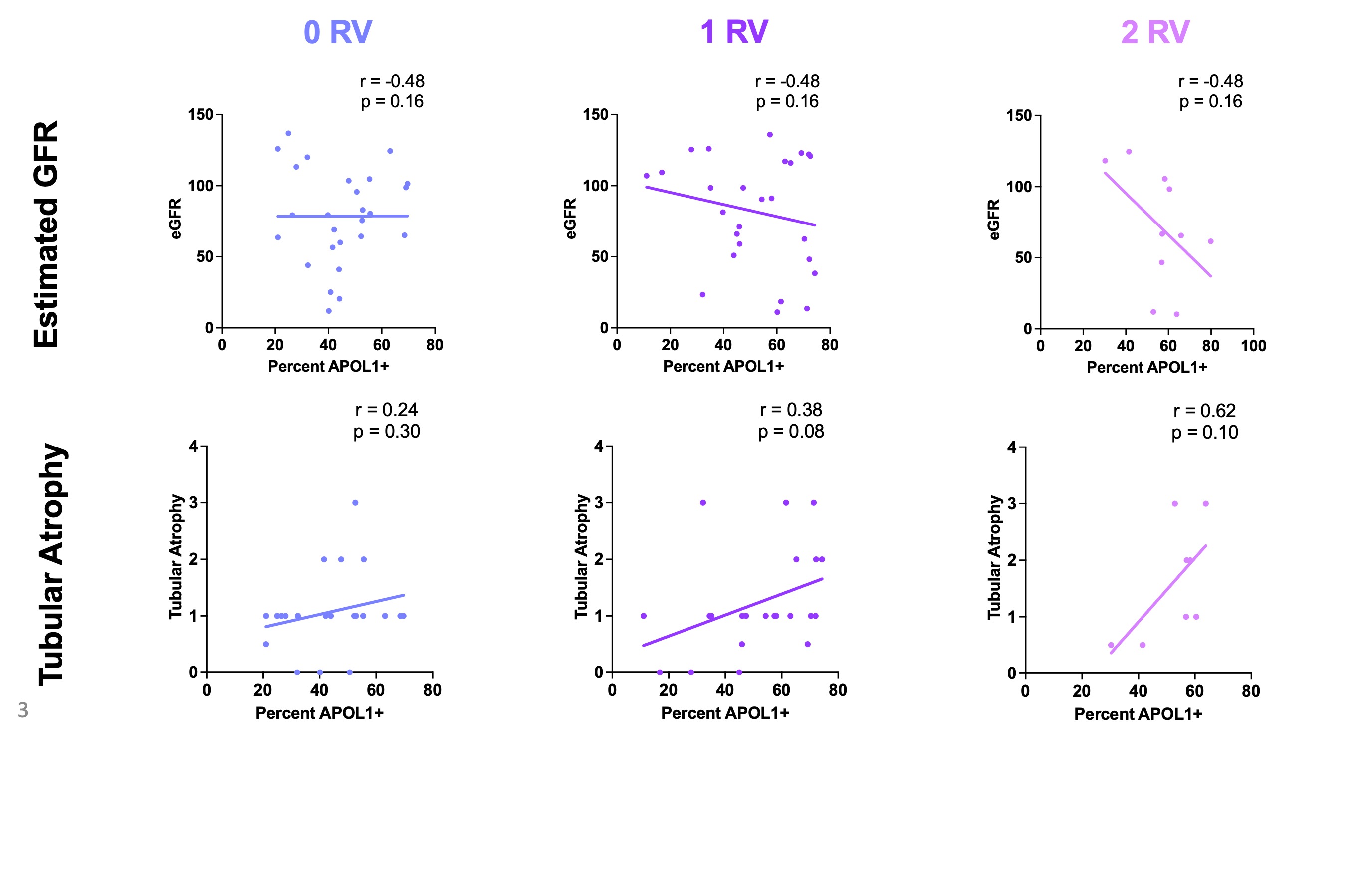
Results: In total, 104 AA patients were genotyped; 47 (45.2%) carried zero APOL1 RVs, 45 (43.3%) one RV, and 12 (11.5%) two RVs. RVs did not associate with baseline anti-dsDNA or complement levels, biopsy class/activity/chronicity, GFR or proteinuria (Fig. 1A-G). While there was a trend toward decreased GFR at one year by gene variant dosage, there was no association with changes in proteinuria (Fig. 1F-H). ScRNAseq yielded 88383 high quality cells in patients with zero RVs (n=30), 72288 one RV (n=28), and 28694 two RVs (n=11) spanning nine parenchymal cluster types (Fig. 2A). Independent of genotype, APOL1 expression was highest in podocyte, endothelial and ascending thin limb (ATL) cells (Fig. 2B). Median APOL1 expression was significantly higher in cells with one or two RVs in the ATL cluster but this association was not seen in podocytes or endothelial cells (Fig. 2C). Single cell pathway analysis revealed that the ATL cluster demonstrated greater pathway level variation between cells with two RVs vs zero than any other cluster, with the most distinguishing related to interferon signaling (increased), antigen presentation (increased), and mitochondrial function (decreased) (Fig. 2D). The ATL damage associated gene, lipocalin-2 (LCN2), was expressed at significantly higher levels in cells carrying two RVs (Fig. 2E).Likewise, the proportion of ATL cells double positive for APOL1 and LCN2 was higher in patients with two RVs (Fig. 2F). While it did not reach significance, the percentage of ATL cells expressing APOL1 more strongly correlated with eGFR and tubular atrophy on biopsy histology among patients with two RVs compared to those carrying zero or one RV (Fig. 3A-F).
Conclusion: APOL1 RVs associated with decreased GFR but not proteinuria suggesting that current clinical indicators of LN severity may not appropriately prognosticate patients carrying APOL1 RVs and that the use of routine genotyping in the clinical setting may better risk stratify AA patients with LN. The scRNAseq data revealed that ATL cells likely express APOL1 and that this may be relevant to progressive kidney dysfunction over time. This highlights the potential for a previously unrecognized extraglomerular injury in AA SLE patients carrying APOL1 RVs providing a novel future direction for understanding APOL1 toxicity and translation to clinical trials.
Figure 1: (A) Frequency of patients with zero, one, or two APOL1 risk variants and APOL1 genotypes. (B) Percent of patients with low C3, low C4, and positive anti-dsDNA by RV number. (C) Stacked barplot showing percent of patients with proliferative, membranous, or mixed biopsy class by RV number. (D) NIH biopsy activity index by RV number. (E) NIH biopsy chronicity index by RV number. (F) Urine protein:creatinine ratio by RV number at 0, 12, 26, and 52 weeks. (G) Estimated glomerular filtration rate (eGFR) by RV number at 0, 12, 26 and 52 weeks. (H) Change in eGFR (1 year -baseline) by RV number.
Figure 2: (A) Total number of single cells in each identified cluster type included in analyses by RV number. (B) Violin plot showing log normalized expression of APOL1 in each cluster by RV number. (C) Boxplot showing APOL1 log normalized expression in endothelial cells (EC), podocytes, and ascending thin limb (ATL) cells by RV number. P-values compare 0 vs 2 RV using Wilcoxon rank-sum test. (D) Heatmap with rows representing q-values (measure of variability) for each Reactome pathway resulting from differential pathway expression using Single Cell Pathway Analysis (Biby et al. Cell Reports, 2022) comparing cells with 2 vs 0 RVs within each cluster type. The table displays the top 15 significantly different pathways within ATL cluster between cells with 2 vs 0 RVs(pathways in purple are up in 2RV and pathways in green are down in 2RV). (E) Boxplot showing log normalized LCN2 expression in ATL cells by RV number. P-value compares 0 vs 2 RV using Wilcoxon rank-sum test. (F) Proportion of ATL cells that were double positive for APOL1 and LCN2 (log normalized expression greater than 0 for both genes) by RV number; patients with less than 20 total ATL cells were excluded. P-value compares 0 vs 2 RV using student’s two-tailed t-test. Abbreviations: DCT/CNT/MD: distal convoluted tubule, connecting tubule, macula densa. EC: endothelial cell. IC: intercalated cell. PC: principal cell. ATL: ascending thin limb. TAL: thick ascending limb.
Figure 3: (A-C) Pearson correlation between percent of ATL cells positive for APOL1 (log normalized expression greater than 0) and baseline estimated glomerular filtration rate (eGFR) among patients with 0 (A), 1 (B), or 2 (C) RVs. (D-F) Pearson correlation between percent of ATL cells positive for APOL1 (log normalized expression greater than 0) and tubular atrophy on biopsy histology among patients with 0 (D), 1 (E), or 2 (F) RVs. Patients with less than 20 total ATL cells were excluded.
P. Carlucci: None; J. Shwetar: None; S. Gurajala: None; Q. Xiao: None; J. Mears: None; K. Preisinger: None; D. Zaminski: None; K. Deonaraine: None; P. Izmirly: None; A. Fava: Annexon Biosciences, 2, Sanofi, 1; J. James: Bristol-Myers Squibb(BMS), 5, GlaxoSmithKlein(GSK), 2, Novartis, 2, Progentec Biosciences, 5; J. Guthridge: None; B. Rovin: AstraZeneca, 2, 5, Aurinia, 2, 5, Biogen, 2, F. Hoffmann-La Roche Ltd, 2, Genentech, 2, GlaxoSmithKlein(GSK), 2, Novartis, 2; S. Madhavan: None; W. DeJager: None; D. Wofsy: Amgen, 7, Novartis, 7; M. Wu: None; C. Putterman: Equillium, 2, KidneyCure, 1, Progentec, 2; D. Rao: AstraZeneca, 2, Bristol-Myers Squibb, 2, 5, GlaxoSmithKlein(GSK), 2, Hifibio, 2, Janssen, 5, Merck, 5, Scipher Medicine, 2; B. Diamond: Alpine, 12, DSMB, DBV, 2, 2, IMT, 2, Kyverna, 2, Nighthawk, 2, ONO, 2; D. Fine: None; J. Monroy-Trujillo: None; K. Haag: None; H. Belmont: Alexion, 6, Aurinia, 6; W. Apruzzese: None; A. Davidson: None; F. Payan-Schober: None; R. Furie: Biogen, 2, 5; P. Hoover: None; C. Berthier: None; M. Dall'Era: Annexon Biosciences, 2, 5, AstraZeneca, 2, Aurinia, 2, Biogen, 2, GlaxoSmithKlein, 2, 5, Pfizer, 2; K. Cho: None; D. Kamen: None; K. Kalunian: AbbVie/Abbott, 2, Amgen, 5, AstraZeneca, 2, Aurinia, 2, Bristol-Myers Squibb(BMS), 2, Eli Lilly, 2, EquilliumBio, 2, Genentech, 2, Gilead, 2, Janssen, 2, KezarBio, 1, Merck/MSD, 2, Novartis, 2, Pfizer, 2, Remegene, 2, Roche, 2, UCB, 5; J. Anolik: None; A. Arazi: None; S. Raychaudhuri: AbbVie, 6, Janssen, 1, Mestag, Inc, 2, 8, Pfizer, 1, Sanofi, 1, Sonoma, 1, 8; N. Hacohen: None; M. Petri: Alexion, 1, Amgen, 1, AnaptysBio, 1, Annexon Bio, 1, Argenx, 1, Arhros-Focus Med/Ed, 6, AstraZeneca, 1, 5, Aurinia, 1, 5, 6, Axdev, 1, Biogen, 1, Boxer Capital, 2, Cabaletto Bio, 2, Caribou Biosciences, 2, CVS Health, 1, Eli Lilly, 1, 5, Emergent Biosolutions, 1, Exagen, 5, Exo Therapeutics, 2, Gilead Biosciences, 2, GlaxoSmithKlein(GSK), 1, 5, 6, Horizon Therapeutics, 2, Idorsia Pharmaceuticals, 2, IQVIA, 1, Janssen, 1, 5, Kira Pharmaceuticals, 2, MedShr, 6, Merck/EMD Serono, 1, Momenta Pharmaceuticals, 2, Nexstone Immunology, 2, Nimbus Lakshmi, 2, Proviant, 2, Sanofi, 2, Sinomab Biosciences, 2, Thermofisher, 5, UCB, 2; R. Clancy: None; K. Ruggles: None; J. Buyon: Bristol-Myers Squibb(BMS), 2, GlaxoSmithKlein(GSK), 2, Related Sciences, 1; T. in RA/SLE: None.