Session: Abstracts: Systemic Sclerosis & Related Disorders II: Clinical Research (1699–1704)
1699: Immunosuppression with Targeted Therapies Reduces Morbidity and Mortality in Pre-Capillary Pulmonary Hypertension Associated with Systemic Sclerosis: A EUSTAR Analysis
University of Zurich & University of Florence Florence, Florence, Italy
Disclosure information not submitted.
Cosimo Bruni1, Havard Fretheim2, Lorenzo Tofani3, Yannick Weber1, Eric Hachulla4, Patricia Carreira5, Dilia Giuggioli6, Paolo Airò7, Elise Siegert8, Ulf Müller-Ladner9, marco Matucci Cerinic10, Gabriela Riemekasten11, Carmen Pilar Simeon-Aznar12, Jeska de Vries-Bouwstra13, Lesley Ann Saketkoo14, Joerg Distler15, Alexandra Balbir-Gurman16, Ivan Castellvi17, Elisabetta Zanatta18, Vanessa Smith19, Christopher Denton20, Britta Maurer21, Alessandro Giollo18, Florenzo Iannone22, Lorenzo Dagna23, Marie-Elise Truchetet24, Masataka Kuwana25, Yannick ALLANORE26, Yoshiya Tanaka27, Mickael Martin28, Edoardo Rosato29, Ana Maria Gheorghiu30, Francesco Del Galdo31, Kamal Solanki32, Alessandra Vacca33, CATARINA RESENDE34, SUSANA VIEIRA35, Laszlo Czirjak36, Marko Barisic37, Francesco Paolo Cantatore38, valeria Riccieri39, Kristofer Andréasson40, Lorinda Chung41, Carolina Muller42, Daniela OPRIS-BELINSKI43, Simona Rednic44, Petros Sfikakis45, Yair Levy46, Anna Maria Hoffmann-Vold47, Oliver Distler1, Vivien Hsu48, Stefan Heitmann49, Gianluca Moroncini50, Michele Iudici51, Joerg Henes52, Ellen De Langhe53, Ariane Herrick54 and Carlomaurizio Montecucco55, 1Department of Rheumatology, University Hospital Zurich, University of Zurich, Zurich, Switzerland, 2Oslo University Hospital, Oslo, Norway, 3Department of Statistics, Computer Science, Applications, University of Florence, Florence, Italy, 4University of Lille, Lille, France, 5Hospital Universitario 12 de Octubre, Madrid, Spain, 6Scleroderma Unit, Rheumatology Unit, University Hospital of Modena and Reggio Emilia, Modena, Italy, 7Spedali Civili di Brescia, Scleroderma UNIT, UOC Reumatologia ed Immunologia Clinica, Piazzale Spedali Civili 1, 25123, Brescia, Italy, 8Department of Rheumatology, Charité University Hospital, Charité Platz 1, D-10117, Berlin, Germany, 9Justus Liebig University Gießen, Campus Kerckhoff, Bad Nauheim, Germany, 10Unit of Immunology, Rheumatology, Allergy and Rare diseases, IRCCS San Raffaele Hospital, Milan, Milan, Italy, 11University Clinic Schleswit-Holstein (UKSH), Lübeck, Germany, 12Department of Internal Medicine, Systemic Autoimmune Diseases Unit, Hospital Universitario Vall d'Hebronh, Barcelona, Spain, 13Leiden University Medical Center, Leiden, Netherlands, 14University Medical Center - Comprehensive Pulmonary Hypertension Center and ILD Clinic Programs // New Orleans Scleroderma and Sarcoidosis Patient Care & Research Centeris, New Orleans, LA, 15Clinic for Rheumatology University Hospital Düsseldorf, Medical Faculty of Heinrich Heine University, Düsseldorf, Germany; Hiller Research Center, University Hospital Düsseldorf, Medical Faculty of Heinrich Heine University, Düsseldorf, Germany, 16Rheumatology Institute, Rambam Health Care Campus and Rappaport Faculty of |Medicine, Technion, Haifa, Israel, 17Rheumatology, Hospital Universitari de la Santa Creu i Sant Pau, Sant Just Desvern, Spain, 18Rheumatology Unit, Department of Clinical and Experimental Medicine, University of Padova, Padua, Italy, 19Ghent University Hospital, Gent, Belgium, 20University College London, London, United Kingdom, 21University Hospital Bern, University Bern, Bern, Switzerland, 22Rheumatology Unit, Department of Precision and Regenerative Medicine and Ionian Area, University of Bari "Aldo Moro", Bari, Italy, 23Ospedale San Raffaele, Milano, Italy, 24Bordeaux University Hospital, Bordeaux, France, 25Nippon Medical School Graduate School of Medicine, Tokyo, Japan, 26Université Paris Cité, Paris, France, 27University of Occupational and Environmental Health, Kitakyushu, Japan, 28Department of Internal Medicine, INSERM U1313, Poitiers University, Poitiers University Hospital, Poitiers, France, 29Department of Translational and Precision Medicine, Sapienza University of Rome, Rome, Italy, 30Department of Internal Medicine and Rheumatology, Ion Cantacuzino Clinical Hospital, Bucharest, Romania, 31University of Leeds - Leeds Institute of Rheumatic and Muskuloskeletal Medicine, Leeds, United Kingdom, 32Department of Rheumatology, Te Whatu Ora Health New Zealand Waikato, Hamilton, New Zealand, 33II Chair of Rheumatology, University of Cagliari-Policlinico Universitario, Monserrato, Italy, 34Serviço de Reumatologia e Doenças Ósseas Metabólicas, Hospital de Santa Maria, CHLN, Lisboa, Portugal, 35Hospital Fernando Fonseca, Lisbon, Portugal, 36Dept. Rheumatol Immunol, Medical School, university of Pecs, Pecs, Hungary, 37Division of Clinical Immunology and Rheumatology, Department of Internal Medicine, University of Zagreb, School of Medicine, University Hospital Center Zagreb, Zagreb, Croatia, 38Rheumatology Clinic – Department of Medical and Surgical Sciences, University of Foggia, Foggia, Italy, 39Department of Clinical, Internal and Cardiovascular Specialities, Sapienza University of Rome, Roma, Italy, 40Lund University, Lund, Sweden, 41Department of Medicine, Division of Immunology and Rheumatology, Stanford University School of Medicine, Woodside, CA, 42Federal University of Parana, CURITIBA / PR, Brazil, 43Saint Mary Hospital, Bucharest, Romania, 44Prof Dr Simona Rednic, Cluj, Romania, 45National Kapodistrian University of Athens Medical School, Athens, Greece, 46Meir Medical Center, Autoimmune Research Laboratory, Kfar-Saba, Israel, 47Oslo University Hospital, Department of Rheumatology, Oslo, Norway, 48Rutgers-RWJ Medical School, South Plainfield, NJ, 49Department of Rheumatology, Marienhospital Stuttgart, Böheimstrasse 37, D-70199, Stuttgart, Germany, 50Marche Polytechnic University, Ancona, Italy, 51Division of Rheumatology, Department of Internal Medicine Specialties, Geneva University Hospitals, Geneva, Switzerland, 52University Hospital Tuebingen, Tuebingen, Germany, 53Division of Rheumatology, University Hospitals Leuven, Leuven, Belgium, 54University of Manchester, Salford, United Kingdom, 55Unità Operativa e Cattedra di Reumatologia, IRCCS Policlinico S Matteo, Pavia, Italy
Background/Purpose: Systemic sclerosis (SSc) associated pre-capillary pulmonary hypertension (precapPH) is a severe condition that requires prompt treatment. Although immunosuppressants (IMS) are standard of care for treating interstitial lung disease (ILD) and diffuse skin fibrosis (dcSSc), their effect on SSc-precapPH remains unclear. We aimed to test whether IMS affect morbidity and mortality in SSc-precapPH in the EUSTAR cohort.
Methods: SSc-precapPH patients (mPAP≥ 21 mmHg, PWP≤15 mmHg, PVR≥2 WU) with at least 3 months follow-up were eligible. IMS included csDMARDS (prednisone ≥10 mg/day, cyclophosphamide, mycophenolate mofetil, azathioprine, methotrexate) and targeted therapies (abatacept, rituximab, tocilizumab, TNFi, JAKi), administered after the diagnostic right heart catheterization. The WHO precapPH class was categorized into WHO group 1 (no ILD), mild WHO group 3 (ILD and forced vital capacity – FVC ≥70%) and severe WHO group 3 (ILD and FVC< 70%).
The morbidity-mortality outcome was defined by the occurrence of either death or precapPH worsening (one of 6MWD decrease≥15%, worsening of NYHA class, onset of right heart failure, additional PAH medication, starting iv/sc prostanoids, lung transplantation, atrial septostomy). Death and precapPH worsening were also separate secondary outcomes.
We evaluated the association between IMS and time to first event with a multiple Cox regression model. Baseline covariates were chosen by expert opinion, including the WHO precapPH class, SSc-related risk factors for mortality (e.g., sex, age, dcSSc, renal crisis, digital ulcers), reasons for IMS use (e.g., muscle weakness, joint synovitis), and PAH parameters for risk stratification (mPAP, BNP/NTproBNP, NYHA class, cardiac index, 6MWD). IMS and pulmonary arterial hypertension (PAH) drugs were treated as time-dependent variables.
Results: 755 SSc-precapPH patients were included (18% males, age 63±11 years, disease duration 11±9 years, 29% dcSSc, 60% ILD on HRCT). 377 (50%) received IMS [365 (47%) csDMARDs, 68 (9%) targeted therapies]. Patients receiving IMS had more frequently ILD, dcSSc, joint and muscle involvement (Table 1).
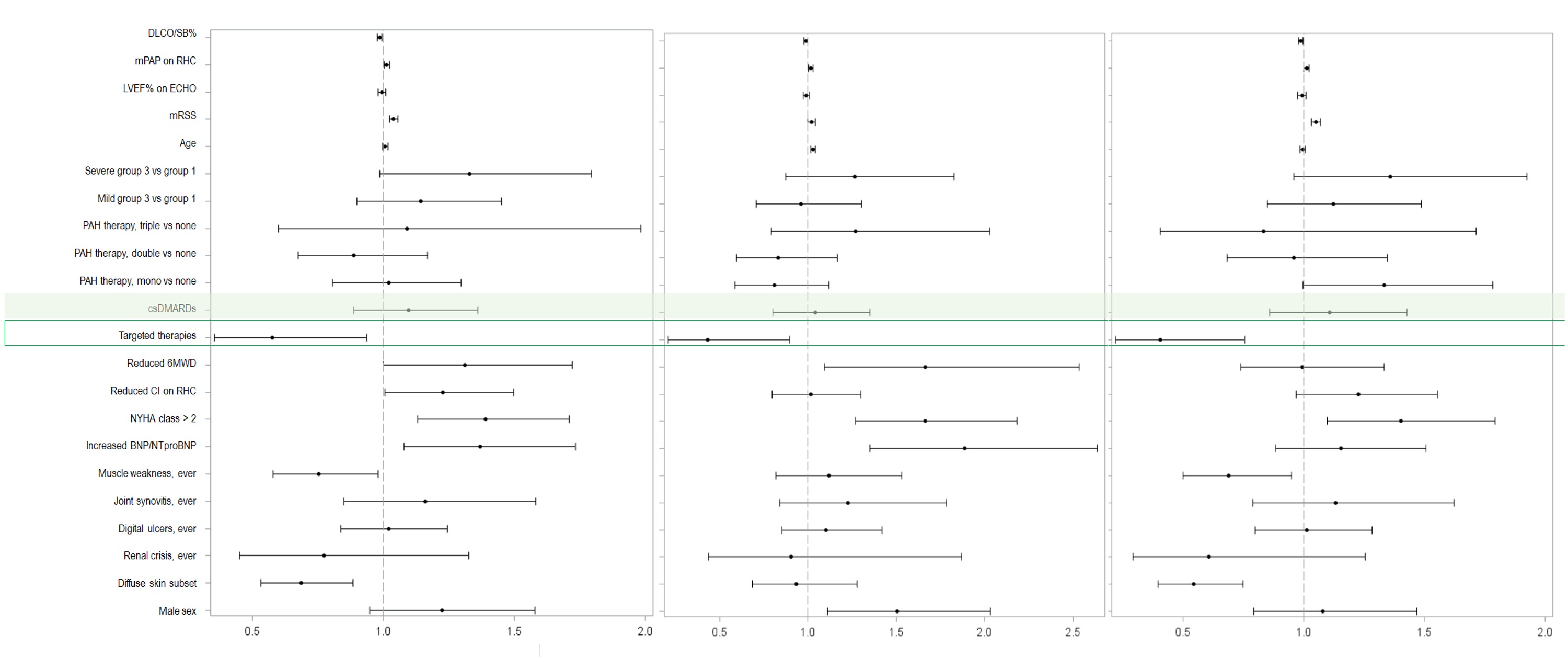
In median follow-up of 2.9 years, 70% of patients developed a morbidity-mortality event. While overall IMS exposure did not associate with outcomes, targeted therapies were associated with reduced risk of morbidity-mortality [HR 0.58, 95% CI 0.35-0.95, p=0.03] and both secondary outcomes [death, HR 0.43, 95% CI 0.21-0.89, p=0.02; precapPH worsening, HR 0.41, 95% CI 0.22-0.78, p< 0.01] – Figure 1.
When looking at specific targeted therapies, tocilizumab showed a risk reduction for morbidity-mortality and precapPH worsening (HR 0.37, 95% CI 0.17-0.81, p=0.02 and HR 0.19, 95% CI 0.05-0.78, p=0.02, respectively), while rituximab for death (HR 0.28, 95% CI 0.08-0.93, p=0.04) with a trend for precapPH worsening (HR 0.51, 95% CI 0.25-1.04, p=0.06) – Figure 2.
Conclusion: In this large EUSTAR SSc-precapPH cohort, targeted therapies are associated with reduced risk of mortality and precapPH worsening, which is independent from WHO group and other confounders. The impact of targeted therapies on long-term outcomes should be further explored in RCTs.
Table 1. Characteristics of the study population and divided according to exposure to immunosuppressants (IMS)
Figure 1. Effect of targeted therapies and csDMARDS on risk of morbidity-mortaliy (left panel), only death (central panel) and only worsening of precapPH (right panel).
Figure 1. Effect of specific immunosuppressive compounds on risk of morbidity-mortaliy (left panel), only death (central panel) and only worsening of precapPH (right panel).